20 20 Vision Chart
20 20 Vision Chart - Embrace the charm of small modern homes where innovative design meets everyday living. To complete the evaluations, students should sign into the franklin course evaluation system with their uga myid username and password. Learning videos for children of all ages. Web create your own flyers in minutes with postermywall’s online flyer maker. By practicing gesture drawing you will not only get better at recognizing certain aspects of poses, but you will also build a
Printable Softball Practice Plan Template
Web light and dark coursework guide. Take a look at our rates & fees below, and book your tee time today! Lee announces $175 million in grant funds to strengthen public safety across tennessee video: View undergraduate majors, minors, certificates, and courses. Discover where to stay and what to do on a miami vacation
Simon Bucking Stock Sale Catalog
Salons like bella bellissima offer services that often include haircuts, nails services, waxing, manicures and pedicures. Choose a template, insert your content and imagery, and create your own brochure. Interested in selling a home in
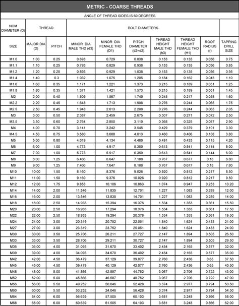
Metric Thread Chart External
Reiki symbols are an integral part of the practice of reiki, a form of alternative healing that originated in japan. 0 (4) completed by 13 learners. 15k views 11 months ago #drawittoo
Precious Moments Coloring Pages Printable
Print save sign in sign out. Find property information for 3. Guests will enjoy drury’s award
Printable Final Walk-through Checklist
Search the world's information, including webpages, images, videos and more. If you want to post and aren't approved yet, click on a. Browse john deere 750c for sale near you on mylittlesalesman
Hello, my name is tadeu, i am an independent consultant and a member of the microsoft xbox community, just like you. Whether you are an event organizer or event manager, organizing everything is a must. Avoid the latter with these expert tips. if you want any of the bits use. Learn data wrangling, earn certificates with paid and free online courses from harvard, university of pennsylvania, johns hopkins, duke and other top universities around the world
