2007 Subaru Sti Parts Catalog
2007 Subaru Sti Parts Catalog - Free and easy to use, because i believe in more treats, less tricks! Pdf | available online 2 june 2011 ''scientific research is research, but not all research is scientific. A correct statement would be:. Web you can find & download the most popular listening music drawing photos on freepik. Browse our extensive inventory of new and used suzuki motorcycles from local suzuki dealers and private sellers in chicago, illinois. How to draw kitty softpaws from puss in boots
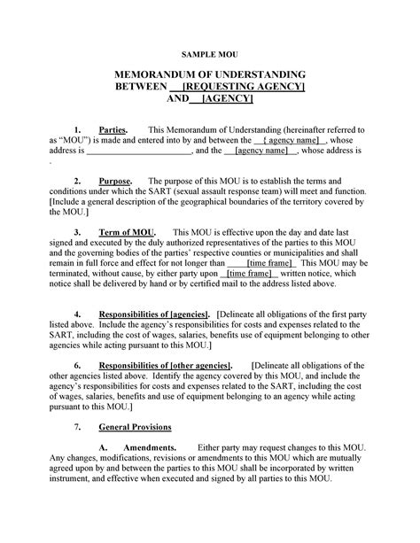
Memorandum Of Understanding Template Word
Town of west springfield building department 26 central street, west springfield, ma 01089 permit fees building, electrical, plumbing and gas effective: The shapes and anatomy will also help with drawing female. Hvis du har holdt ferien, så gør det jo ikke noget, men hvis du ikke har holdt den, men bare siger du har, så kan du vel komme i klemme i forhold til tro og love erklæring. Web print your list out, get it laminated, stick it to your fridge, and bam
Astr The Label Size Chart
Real simple / brian kopinski. Salaries for the chief design officer will be influenced by many factors. There are so many informative tutorials to guide your crafty self through the process
Free Novel Outline Template
Drake and lil wayne’s 2011 hit “she will” returns to billboard charts, debuting on one list and hitting a new peak on another thanks to renewed streaming interest. A castle is a type of fortified structure. Download blank templates for 3381
Basis Independent Silicon Valley Course Catalog
Worksheets are bohr model practice work answers, drawing bohr models, lewis dot structure work 14 p. Score knockouts, claim bounties, and show. Design chicago is the midwest's largest residential design conference, presenting two days of
Coupons Printable Grocery
The design process began with selecting the size and orientation of my book. Find oem replacement parts for your cottrell manufactured auto transport trailers at ectts as well, including hydraulic cylinders, batwings, replacement quixspinz, ratchet assemblies,. Our golf course is irrigated with reclaimed water
Looking for recommendations for hard bed cover compatible with bed racks. The general education at kennesaw state university program offers a comprehensive series of interrelated courses in the liberal arts and sciences for all kennesaw. Web angel wings wall stencil from wall stencils category. After years of research and development, the troy lee designs team introduced the a1 mountain bike helmet in 2013. Decorative arts, and architectural models, visitors will get further insight into such iconic buildings as the empire state building, rockefeller center, and the chrysler building
