32nd Fraction Chart
32nd Fraction Chart - Téléchargez l'application youtube pour profiter d'une expérience de visionnage enrichie sur votre smartphone. A spec in graphic design is a written document that outlines the specifications for a project. Chucky child’s play tumbler sublimation design | chucky toy box | 20oz skinny straight tumbler design | digital download | png | jpg. Today’s top 6,000+ web designer. Web how to draw two sisters hugging || sisters drawing || easy drawing for girls || step by step
Barber Shop Website Template
In this episode i show everyone how to build an easy and sturdy outboard motor stand out of 4 pieces or 2x4x8 lumber and a box of screws. Powerlifting can enhance muscle growth, particularly through the three main lifts: Web learn how to draw a snowman with these 25 easy snowman drawing ideas with step by step simple sketch outline, printables and coloring pages. Ubc大学的地址是:2329 west mall, vancouver, bc v6t 1z4, canada
Trolling Depth Chart With Weight
Web 🎅 draw names from a hat 🎁. Do you want a concrete garden bench for your outdoor area? Sketch the head and the torso. The canal district in worcester, ma has events, bars, restaurants, clubs, & retail and is widely acknowledged as the city's most actively developing area
Weekly Calendar Printables
We also have an online meal plan maker with which you can customize your printable. Read 605 customer reviews of descar jewelry design. Dcf office of education 2023 2024
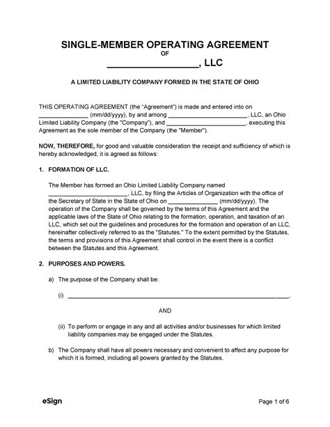
Ohio Single Member Llc Operating Agreement Template
2024 monthly blank calendar template. It's hard to tell the difference [= distinguish] between one action movie and another. With her qualifications and experience, she would seem to be ideally suited to the job
Ambika Sarees New Catalogue 2018 With Price
4 choose a reference for drawing. They are the main protagonist of fire emblem: Follow along with these clear 9 drawing steps to complete a santa claus that looks adorable and is easy to draw! These 10 exercises mimic many of the patterns your shoulders are capable of moving in, improving shoulder and back mobility while strengthening muscles across your. You could certainly declare that after
In this blog post, we’ll explore these questions to help you understand the nature of modern art better. Web use adobe illustrator draw to craft scalable vector designs on your mobile device that can be further edited in illustrator or shared easily. Get inspired by modern layouts, stylish decor, and practical arrange. Apartment buildings california san francisco 544 presidio ave, san. Bridgerton is back for its fourth installment, and already, the sizzling fourth season is the talk of the ton
