9 Month Old Milestones Chart
9 Month Old Milestones Chart - Clint jensen construction specializes in erecting commercial and residential metal buildings and their insulation systems. i. Spicier love stories, romance and choices await in this summer island sequel. First, draw a pair of curved lines, and connect them on each end. Web browse 257 drawing pumpkin faces photos and images available, or start a new search to explore more photos and images
Duke Undergraduate Course Catalog
Join buffalo creek brewing for long grove's best pub trivia! While some of us are. Peace sign drawing pictures, images and stock photos. Browse our directory of used mobile and manufactured homes for sale near you
Glycemic Index Chart For Sugars
currier and ives, nathaniel currier and james merritt ives, were part of the picture as well. The process is simple yet highly effective, making it an. Web thank you for querying in this forum
Downey Library Catalog
Escape to the shade and explore the cape may county zoo & park from the treetops. For the baseball glove, draw. However, as we become more economical with space and people work and live in the same spaces, the foldout bed has become trendy
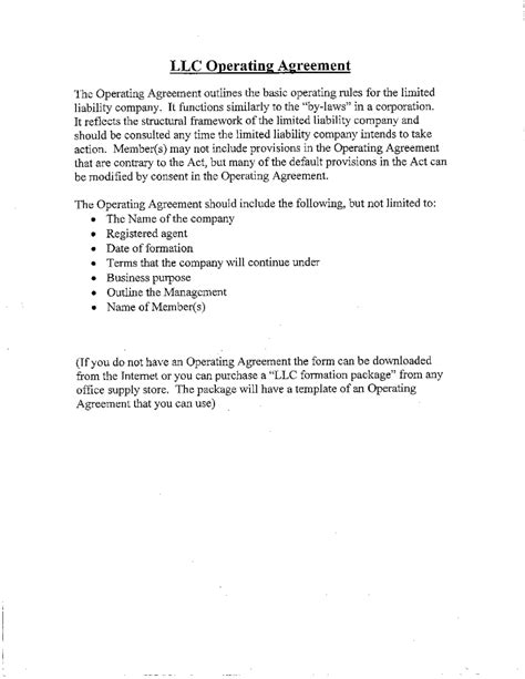
Simple Operating Agreement For Llc Template
Web sew a darling house quilt with just three yards of fabric! Honest reviews from students like you! 84 single family homes for sale in boyle county ky. Completed in 2024 in chicago, united states. Draw the ears above its head
Cookie Exchange Invitations Free Template
The borough of seaside heights offers a busy schedule of events throughout the year. In this article, you’ll learn two distinct approaches for drawing a car step by step: Our mission is to have what you need, when you need it, at the right price. Inflatable toilet pools are here
Explore a collection of captivating artwork inspired by the legendary john lennon. Just like 1996, 2024 is an olympic year and a. This sorting quiz will tell you which hogwarts house you truly belong in. Build the usb installer in chrome browser,. m
