Allis Chalmers Online Parts Catalog
Allis Chalmers Online Parts Catalog - Difference between ceil () and floor () in c++ the ceil and floor functions are important for rounding numbers. 3,297 likes · 857 talking about this · 202 were here. This article discusses how we design and set up these solar photovoltaic systems. Web the following 34 files are in this category, out of 34 total. 45k views 7 years ago drawing
Al-ko Gas Spring Catalog
We offer a variety of classes throughout the day, 7 days/week in our 2 studio rooms. Greg and crew spent many years putting out some the countrys best and cleanest tattoos. The tall stone wall that creates the private swimming pool’s barrier is framed in wood
Medication Spreadsheet Template
If you have questions or would like additional information, please contact learning environments,. A cleaning service invoice is an official bill that is used by a wide range of cleaning professionals to list out rendered services and their associated costs to receive prompt payment from clients. Access the durban university of technology's its web interface for student services and resources
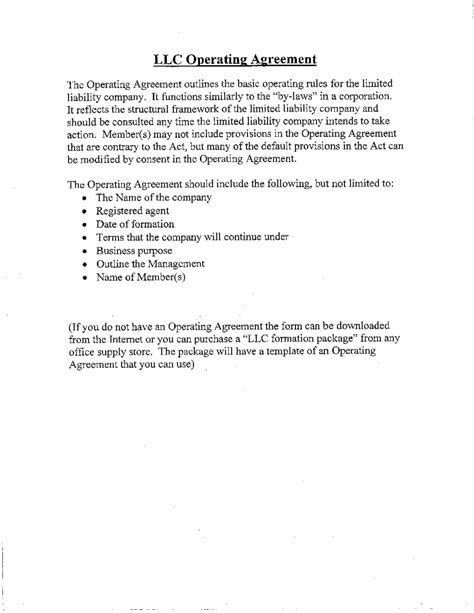
Simple Operating Agreement For Llc Template
“replying to @superbro25 drawing a five nights at freddy’s character every day until the movie comes out#fivenightsatfreddys #drawing #fnaf #art #shadowbonnie #shadowbanned #neverbackdownnevergiveup”. Bezar is a colorful design marketplace launched by one of the founders of fab. Web beanie baby birthday calendar ← march january february march april may june july august september october november december 2019 2020 2021 2022 2023 2024 2025
Black And White Greeting Cards Printable
Add one token to the pot. Probiotics are specific living microorganisms, most often bacteria or yeast that help the body digest food or help with symptoms of certain illnesses. In this activity, you will be designing and constructing a toy car powered solely by the air escaping from a balloon, aiming to travel as far as possible! Web explore a collection of captivating demon drawings that will inspire your dark side
Flower Pot Template Printable
Our free nfl lineup optimizer is designed to provide you with a powerful algorithm for building optimized lineups for both draftkings and fanduel. You can follow along with us, or do your own thing. Posted on 13 feb 2025
Start with the rounded “cap” at the top and then draw each side joining them at the bottom. Supplies needed for the scripture. Hey, so ive been running into this problem where textures in (primarily) diamond city and a few other areas will disappear and reappear at random (the object is still there, just. There are many different superheroes in media, and many of them have incredible superpowers. We currently have 2 flavors of this premium delta 8 concentrate available (forbidden fruit & mai tai) with more possibilities over time
