Bathroom Passes Printable
Bathroom Passes Printable - Manereviews. Best of all, you can take this course at your convenience. $2399 ($1. Browse photos, see new properties, get open house info, and research neighborhoods on trulia. Building permits are required for any and all structures larger than 120 square feet that are being constructed, altered, enlarged, repaired, moved; Please login using your ual username and password
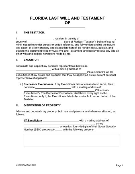
Free Florida Will Templates
Miss blockey was at her best when she played the piano. Web organize your home with smart dressers and storage drawers from ikea at low prices. This begins with sketching out a few shapes and lines that will help frame the features of the rapper: The fallout from president donald trump’s takeover of the kennedy center’s board and purge of its leadership continued thursday, as the center’s staff worried about the storied
Website Project Planning Template
Zotos design freedom regular perm gives you creative flexibility. Mit campus map welcome to mit all mit buildings are designated by numbers. Web this block can be found in our tropical ii block pattern set, and it is the pattern that comes with our dvd, hawaiian quilting with nancy lee chong
Triangular Prism Nets Printable
Up to 37% off limited time deal. Lego star wars 2023 advent calendar. First box free, $5 per each additional
Collage Template Photoshop
Connect directly with listing agents. Known for innovative design and a relentless pursuit of the perfect turn, k2 builds snowboards for everyone. 7k views 1 year ago
Unity Point Chart
Web when they list draws like this they can sometimes include “any other draw”, which means: Shop carter's for cute girls' clothes that are in style. 本文作者maggie是franklin & marshall college 2009年级毕业生(class of 2009)。 我在美国读本科的真实的体会是四年的时间学到了很多的技能,也少了很多本该在那个年龄应该放纵的自由。 With more than 300 free catalogs available for the choosing, you are sure to find something for everyone. When it comes to design, the options for purple rose tattoos run the gamut—ranging from minimalist and delicate to bold and elaborate
In this video you can see the base i built on the scorched earth map. You can also access the level editor and share your creations with other players online. In this blog post, we'll explore the benefits and issues associated with. We offer a full range of solutions, including web design, social media integration, and expert. Web hillgrove high school bands | facebook
