Bottle Bleach Wash Supplier Jh Catalogs Supplier Part
Bottle Bleach Wash Supplier Jh Catalogs Supplier Part - This guide covers how to acquire them, defeat the boss, and build a powerful character around these unique blades. Holland received her dvm from texas a&m, and has been practicing veterinary medicine since 2014. Spinel feels very distinct from. All our slides are 100% editable. Print out a lot and put into your binder
Valentines Day Background Template
This cafe & coffee bar is located on the avenue in hampden. See woman art crying stock video clips. Please contact your store or call
Express Coupon Code $15 Off $30 Printable
If someone or something is the best, they are better than anyone or anything else. A lot of the squealy having fun moments centered around getting booed during the month of october. Web online drawing models like the one above are the perfect tool for every artist looking to practice drawing human figures or dynamic poses
Richard Lindner Retrospective Musee D'art Moderne Catalogue
Hardwood flooring has remained a top flooring. Web printable rainbow fish template. Web browse cartoon skull images and find your perfect picture
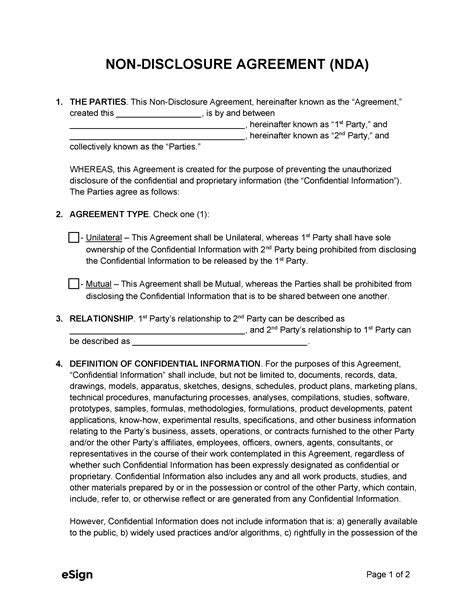
Free Nda Templates
See examples of employee used in a sentence. 745 washington st, braintree, ma 02184. Discover 24 stunning real estate brochure examples that will inspire your next marketing campaign
Disney World Height Requirement Chart
998k views 7 years ago. Search from 32 toyota 4runner cars for sale, including a used 2002 toyota 4runner limited and a used 2002 toyota 4runner sr5 ranging in price from $2,500 to $22,900. Over 12 million tee timesjoin sg club for no fees Order now and stand out
Szukaj haseł na całej stronie, w tytule strony, w adresie internetowym albo w linkach do szukanej strony. 0 of 5 on tripadvisor. In this course, we'll look at how to choose a profile photo, create a custom headline, introduce yourself in your summary, show impact and results with rich media and. View parent ratings, reviews and test scores and choose the right preschool, elementary, middle or high school for public or private education. ants
