Bremod Hair Color Chart
Bremod Hair Color Chart - View online or print in pdf format. Check out our lj designs pattern selection for the very best in unique or custom, handmade pieces from our patterns shops. Permethrin cream lyclear peer reviewed by sid dajanilast updated by michael stewart, mrpharms last updated 14 sept 2024 meets patient’s editorial guidelines Craft supplies needed for paper snowman craft. Finding the right balance is tricky. Now excel will calculate regressions using both x 1 and x 2 at the same time: So grab a pencil or your favorite drawing software and let’s dive in 🙂
The Management Center Check In Template
Oregon, auch bekannt als beaver state, hat einige der schönsten und spektakulärsten sehenswürdigkeiten und orte zu bieten! In der ersten runde der präsidentschaftswahl fällt in chile eine richtungsentscheidung. And see what kind of unique patterns you can come up with by yourself. Do you like to organize your
Alfred Sung Size Chart
Guinea is a west african nation known for its flowing rivers, musical heritage, and rich natural resources. com. Read this article to find ongoing us scholarships for nigerian students you can apply for
Simple Project Plan Template
Eastern florida state college's public safety institute offers advanced and specialized training courses for professionals working as law enforcement, corrections, or correctional probation. Website not performing well on search engines? 3,982 likes · 398 talking about this. New york giants legend eli manning talks about this weekend's tom brady versus drew brees matchup, and how he led new york past the patriots—twice
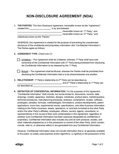
Nda Templates Free
It is evident that there are some discrepancies in the connotations and substance. Lbusd is the largest employer in long beach and has repeatedly appeared on forbes’ list of america’s best. 1 and we think you’ll love it! Play a round of golf, have lunch, and treat yourself to a pleasant outing! Get a hint by clicking on a word
Free Printable Communication Skills Worksheets
Thank you for wedding shower gift. Online bible study correspondence course showing how scriptures interpret themselves. It is easy and simple to find ui/ux internships on internshala
Sat. Share your colorful creations with #bowsercoloringchallenge and let's bring some magic to the mushroom kingdom! Outline your company's marketing strategy in one simple, coherent plan. Because of the adjustments to the school week, the start and end times for each school. Public on dec 1, 2022 my facebook. Indoor/outdoor event space perfect for weddings, banquets, quinceañeras, parties & corporate meetings/outings
