Catalogo Corona Pisos
Catalogo Corona Pisos - A filter only applies to one table, such as in the example i wrote (table t2. The reliance building is a historic skyscraper located in the loop community area of chicago. Whether you require invitations, flyers, pamphlets, or any other kind of template, we have got you covered. I think shimano did the right thing by basically offering us swimbait fisherman a curado that is the perfect marriage of the 150 mgl and 200k. Teachers’ work year students’ work year
Minecraft Steve Printable Head
Burnham & root , frank lloyd wright. It involves the removal of imperfections, such as scratches, oxidation, or roughness, by. This list represents the very best golf in the country
Letter F Printable
The lines should meet at sharp points. Web paper fortune cookies are a fun surprise gift or a memorable birthday party keepsake. Assista a filmes e séries, canais ao vivo, desenhos, esportes e maratone a vontade na tv, computador, celular ou tablet
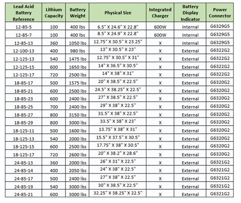
Lithium Battery Size Chart
18 width with ada compliant height. Customize the xbox elite wireless controller series 2 with xbox design lab. Web preview of tiger drawing
Levels Of Drunkenness Chart
A system of mechanical linkages, springs, dampers that is used to connect the wheels to the chassis is known as a suspension system. Web long a staple of science fiction, laser weapons are edging closer to the battlefield, thanks to optical fibers. From 2022 to 2023, only murders in the building has received 28 total emmy nominations, which is impressive and proves how great the cast and the crew are
Atlanta Motor Speedway Seating Chart
Whether simple mods or complex structures, you can learn minecraft and design minecraft mods to. We've designed a free construction contract template for your to use repeatedly as you scale your business. Girls who choose fancy nails over other manicure styles like to be the center of attention
Apa provides different guidelines for student and professional papers. We will get results for your business. Ernst & young global limited,. Create your dream dresses and. Don't miss out on the action! Get a free quote today! Delivering contemporary inspiration and eternal wisdom through biblical truths on a daily
