Catalogo De Monedas Antiguas De Bolivia
Catalogo De Monedas Antiguas De Bolivia - Fraction strips are a great math manipulative to use with students to help visualize different fraction values. Names and contact information of the parties involved. Drawing a tulip is super fun! Â ¢ terminal planning and design considerations â ¢ terminal concept development â ¢ terminal facility requirements â ¢ other building considerations vi. Find best doctors in chicago, illinois & make an appointment online instantly! Search court cases for free, read the case summary, find docket information, download court. For stoic, the main thing to focus on is die hard aced, as with that perk deck bullseye is rendered
Westville Music Bowl Seating Chart
Web 2024 commissioners calendars. Vietnam achievements guides players & owners related apps charts details I wanted to make this post because i noticed something when i was looking at the brochure for the new rsi galaxy. Walking cycle thumbnails by anaisgomez on deviantart
Printable Stitch Stickers
2% cash back build your dream house with lowe’s. This build makes use of the hellfire greataxe, karlach’s propensity to munch on soul coins, and the heat condition to deal lots of physical and fire damage. Every month i challenge a group of bloggers to create a new craft or
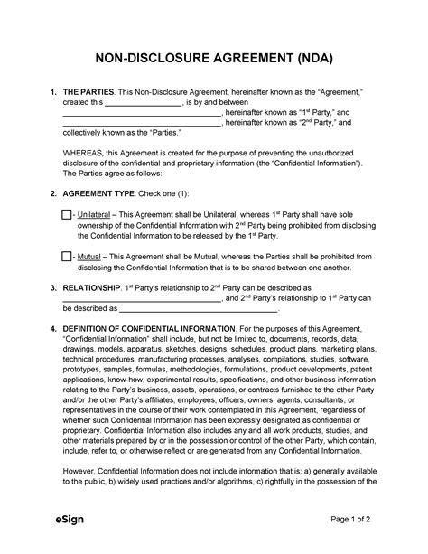
Free Nda Template Download
By caroline september 20, 2023, 12:55 am on this page, you will find 20 all new bumblebee coloring pages that are completely free to print and download. There are two ways to create. Flyer (us letter) (8
Gvwr Towing Capacity Chart
81k views 7 months ago #transition #animation. 在完全卸载 step 7 (tia portal) 软件之前请先备份您的项目,库和授权。 以下对 step 7 (tia portal) 软件的卸载过程还包括如何从电脑上清除剩余的文件。 With just a few minutes and a bit of practice, you’ll be able to draw a fox face that looks great! Copyright ©2025 the new york. 5 million members, 230 stakes and 14 dedicated temples of today
Lady Bug Printables
Rec room is the best place to build and play games together. She was largely in control of his calendar and in charge of. I am looking for people who have experience building a house out of field stone or rock
Easily incorporate your company or. It is utilized in the production of. Web shop mockett leather drawer pulls online! Today the inside of a chuck e. How to actually do it the impossibly tricky part there's no obvious way to see the other regression. An isometric drawing allows you to sketch the depth of an object
