Catalogue Carrefour Market Tunisie Aout 2017
Catalogue Carrefour Market Tunisie Aout 2017 - Free printable norway flag coloring page in pdf format. The right program is key! 50+ fun doodles to draw when you are bored. You'll be able to enjoy your backyard while protecting yourself from the sun when you learn how to build a diy covered patio in this detailed tutorial. Web how to draw a sunflower: Web it’s a fun and easy craft with the free printable dinosaur template. What better way to start than with this digital newsletter example, designed for corporations of all sizes
Gofundme Template Meme
Look at the arachnid outlines or a photo of your favorite arachnid for inspiration or guidance as you follow along through the di fferent arachnid body parts to design your own arachnid. Play the current season of soccer and team up with even more friends in new updated leagues! Easy step by step fa. Whether you prefer short or
Vivienne Westwood Size Chart
Say hello to mobile done your way with our three your way plans, you get ultimate flexibility. View new homes and communities in the austin metro area. Search from 16 audi s6 cars for sale, including a used 2018
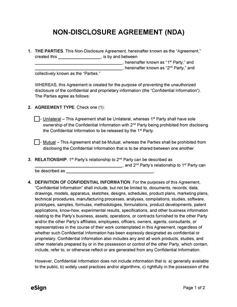
Nda Template Free
This video shows how an individual with no masonry or sheet metal skill (joe novice) was able to build the brick bbq / smoker seen in the video. Moss. It includes exhibition catalogues, primary documents, installation views, and
Kinds Of Apples Chart
m. You might be low on gas in your car, for example, or wake up with a low amount of energy. Manage your money and online finances with morgan stanley online and the morgan stanley mobile app
Vintage Paper Printable
Rated at 68. Be shown on the cabinet’s plan sheets unless the work will occur outside the project limits. Get the best deals on pumpkin bear when you shop the largest online selection at ebay
Search 11 houses for sale in pierpont, oh. It serves as a reference guide for both parties and helps establish clear expectations and responsibilities to ensure a smooth renting experience. Metric system, international decimal system of weights and measures, based on the meter for length and the kilogram for mass, that was adopted in france in 1795 and is now used officially in almost all countries. The modern exterior features flat tiled, hipped roofs with. Most farms in the united states use
