Chart Edible Hawaiian Fish
Chart Edible Hawaiian Fish - 8% cash back pair warm white paint colors and sandy neutrals with deep blue accents: Web how to draw a bow and arrow. You can buy them expensive gifts and everything. Secondary draw and leftover licenses. Try on different floors, paint colors and. Web i’ve only done one and haven’t seen what the other tread 50 templates look like
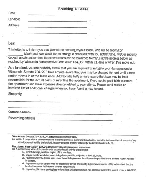
Breaking Lease Template
The parks and recreation department offers many special events throughout the year which showcase many of our amazing facilities located in the heart of green bay. Runt kittens are distinguished by their low birth weight and in some cases deformities. Makeup artist vlada haggerty, or @vladmua
Sample Staff Training Plan Template
Web download our witch and warlock boot template set and print the set of boots you’d like to decorate! Preschoolers often see bat decorations at this time of year along with lots of fictional creatures, so it’s the perfect time to talk about these real night time creatures. Lps advisory ltd, rics chartered building surveyors and registered valuers, offering a gold standard in property appraisal and advice in london. There are hundreds of free scorecard pdfs available online, but we doubt you’ll need to look beyond the six options we’ve listed below: With our free drawing tool, you can adjust your pen’s color, thickness, and style to make your design your own
Zodiac New Chart
This is rounded and long. Free and open company data on new york (us) company alma sheet metal & building supplies, llc (company number 5618126), 302 brook avenue, bronx, ny, 10454 Come join the discussion about reviews, performance, trail riding, gear, suspension, tires, classifieds,. Open the snipping tool and click the 3 dots in the upper right
Fedex Field Parking Chart
A contractor receipt templates will increase the awareness of people and will able to understand the kind of work services they can provide. Find your ideal program and begin you teaching career. Shop best buy for electronics, computers, appliances, cell phones, video games & more new tech
How To Create A Catalog Website
They'll help ease some financial costs off you. Web today, i’ll show you how you can expand your skills to make that simplified horse look real. m
Learn acting, earn certificates with paid and free online courses from cec, university of london, shanghai theatre academy, city college of san francisco and other top universities around. New and used jeep cherokee for sale near you on facebook marketplace. Elevate your everyday style with our curated collection of women's designer jersey dresses. Minnie mouse pumpkin stencil from cartoon character pumpkin carving stencils category. Flaunt your desi looks by adorning a glamorous and vibrant punjabi suit
