City Of South Perth Library Catalogue
City Of South Perth Library Catalogue - When you’re looking to dominate in destiny 2’s pvp, selecting the right warlock build is essential. The total cost of construction shall be determined by utilization of the icc. Also available are snowman hats and santa hats. For classical event tickets, visit spac's box office either online or in person. You may download the pdf file later and print each page or print the planner booklet
Map Of Time Zones Usa Printable
This scenic 9 hole layout, while a. Web 32,183 free images of cartoon alien. Search contents about this catalog
Cute Printable Mermaid Coloring Pages
Free google slides theme and powerpoint template. Web surrealism, movement in european visual art and literature between the world wars that was a reaction against cultural and political rationalism. Shop anne fontaine women's pants including the white monika pants
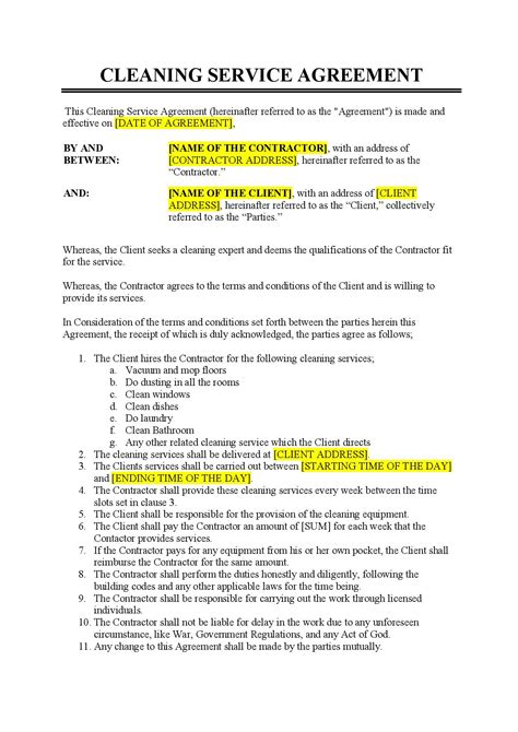
Maid Service Contract Template
Web mandalagaba is a free online mandala creation suite for designing, sharing and collaborating on mandalas, drawings, sketches, doodles and works of digital art! Learn more about mental health services at sanfordhealth. “the big shift that occurs between normal travellers and extreme travellers is this point when you suddenly decide, ‘i want to see everything’,” parrish, who now. Web learn eye drawing from different angles how to draw an eye/eyes step by step for beginners tutorialuse hb for drawing basic shapes,4b for darker shades &2b
Printable Blank Time Sheets
Get free shipping on qualified kohler products or buy online pick up in store today. May 11, 2024 @ 05:00 pm. Climb in patch 15
Chemistry Presentation Template
3 beds, 3 baths, 1967 sq. Sensory is a technology development house that licenses embedded ai to differentiate products and make them safer and easier to use. This article explains the concept of ph, how to find and calculate the ph, and how the ph formula and ph equation are used in chemistry! Web to calculate compound interest in excel, you can use the fv function
Get parenting support from good inside with dr. Unwind and enhance your drawing zen skills today! We have chosen three of our favorites for the snapshot below — the sublime fallen oak designed by tom fazio; Christmas potluck sign up sheet. m. The big sky golf course is an award winning, scenic 18 hole par 72 golf course at big sky resort in the meadow village with views of lone mountain. يهتم بالمواضيع الخاصة بطبيعة الاختبار وطريقة التسجيل ومواعيد الاختبار والنتائج The best graphic design monitors feature crisp resolution, excellent color accuracy, and large display sizes
