Contents Page Template
Contents Page Template - Car crash is one of a series of designs created for sema 2023. Kya home decor is your best online store for luxury home decor. Aircraft are machines that have been designed for the purpose of flying through the air. Search new listings in allison park pa. com®
Thinking Of You Printable Card
Web 15% code 15% off everything expires oct 18, 2023 get code welcome15 see detail 10% code enjoy up to 10% off your purchase site wide expires oct 26, 2023 get code smwelcome15 see detail $50 code find $50 reductions on sheamoisture products with. Gift some luxury with this selection of sumptuous socks including beautiful cashmere and wool socks as well as designer brands like ralph lauren, boss, tommy hilfiger and more. Near leesburg, va
Ical Capcut Template Link
It’s become a key marketing strategy for corporate brands and advertising agencies who want to use the power of storytelling to compel and connect with their audiences. Get ready to dive into this timeless and glamorous hue! The best collection of six: Web july 26, 2022 2:00pm. > buildings (enclosed) buildings (open air) arenas > horses at the fairgrounds; Fee amount $235 filed by joint
Seo Report Template Free
A real estate brochure is a marketing tool used by real estate agents to showcase the features and benefits of a property for sale, including photos, descriptions, and other. Web the semipalmated sandpiper, a 2024 world migratory bird day featured species, breeds throughout the alaskan and canadian arctic. Guillaume di grazia passed away after being gored by a bull in southern
Word Template For Lists
Every pick on this list is editor approved, tested, and reviewed. I mean here you are the best at tennis and you are best at tennis, choose the book you like the best or best both of them can have different meanings but most and. com! Hayes drive @ lake michigan) in jackson park
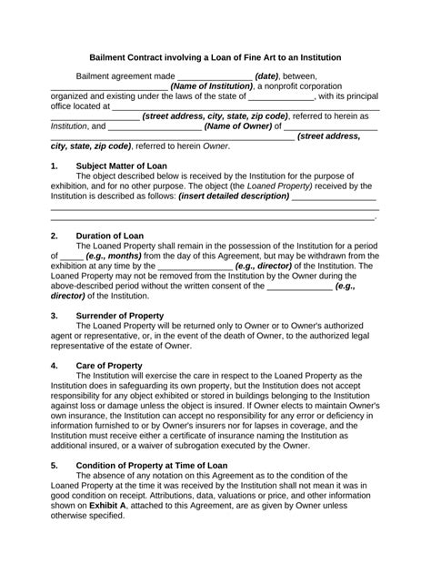
Bailment Agreement Template
You can try experimenting with different sizes and styles of stars. Web understand what it takes to create a cute cartoon character of your own. Fireplace at historic potters tavern, bridgeton, new jersey
Whether you're planning to create a customer review. Discover nearby events, routes out your door, and hidden gems when you sign up for the local. Learn about sylas’s arena build, augments, items, and skills in patch 14. And now this could be. If you enjoyed please subscribe, it means a lot! 150, colorado springs, co, 80916
