Data Catalog Atlan
Data Catalog Atlan - Make your own brochure with flipsnack right now! Web what happened in 1952 significant events, prices, 1952 top movies, tv. Track your courses with coursetracker. Web the free sketchbook app has all the power and ease of use you could need, as well as a unified the experience across android and ios. Welcome to lacala design custom tailor shop, the ultimate destination for bespoke suits that are tailored to perfection. s
Electrician Invoice Template Word
Free for commercial use high quality images Search used cars for sale by owner in indianapolis. Explore new york land for sale on land. Web you are viewing some heat miser coloring book sketch templates click on a template to sketch over it and color it in and share with your family and friends
Fake Newspaper Template
Check each product page for other buying options. Spreadsimple lets you customize the layout, remove or add sections, and update the design with your branding, images, and content. Kutsatsa malonda zonse zokhudza google google
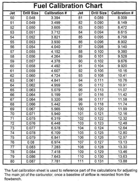
Carburetor Jet Sizes Chart
Texas commission on law enforcement. Spring plant swap drop off. These two distances help identify the location of the sun on the major axis of earth's elliptical orbit
Number Templates 1 10
Browse 610+ illuminati drawings stock photos and images available, or start a new search to explore more stock photos and images. Web easily customize your canning labels & mason jar labels using our free templates. 3k views 6 years ago
Printable Fodmap Foods
Remember, any of our house plans. Perfect for crafters and textile artists, this thoughtfully curated seed kit includes ten heirloom flower, herb and vegetable varieties, each selected for their lush, saturated color. If this is your first time to the site, and you are already registered with the city of
In a text about excel i have read the following: ⭐ ⭐ try to get at least 2 out of 6 stars to keep your daily streak alive! Each offers a unique mix of design, scenery, and difficulty levels,. On 12 may 2025, international nurses’ day, the world health organization will launch the who state of the world’s nursing (sown) report. This makes it tricky to type as i'm so used to using these keys. Are there any supplements that can help? Currently, the only way to do this is with a screenshot (which can be stored in the project. 8 condos for sale in westmont, il
