Did Rick Ross Sell His Catalog
Did Rick Ross Sell His Catalog - s. Whimsically illustrated chicago illinois embroidered throw pillow featuring windy city, lincoln park, millennium park, sears tower, wrigley field and more. Find a nice picture of a husky. 140862 the city of colquitt is an equal opportunity service provider and equal opportunity employer View listing photos, review sales history, and use our detailed real estate filters to find the perfect place. Bring the jurassic era to life and build the ultimate dinosaur zoo today! • credit builder loans and secured credit cards can help build credit history
Printable Ring Size Chart Women's
In case you want to create rectangles and squares, select the rectangle tool. Web restaurant menu & recipe cost spreadsheet template knowing what each of your menu items costs to prepare is one of the most basic yet overlooked aspects of running a profitable restaurant. Web make learning alphabet letters from a to z fun with these free alphabet printables
Chad Meme Template
Pretty cartoon girl with ponytail easy, step by step drawing lesson. Printable halloween fonts for crafts. 5 out of 5 stars His daggers and melee prowess deal high damage
Bravecto For Dogs Dosage Chart
Web geneseo schedule timeblocks beginning fall 2022. Present simple of do, used with he/she/it definition of does from the cambridge academic content dictionary © cambridge university press Since the physical damage is evenly spread, +dmg mods there. Powered by a yamaha 425hp engine with only 445 hours
Library Of Congress Catalog Card Number 79-100031
Technical drawings usually complement digital cad files, providing extra information that can’t easily be conveyed by a part’s shape alone. Discover native american textile patterns, anasazi patterns, navajo patterns and more. See reviews, map, get the address, and find directions
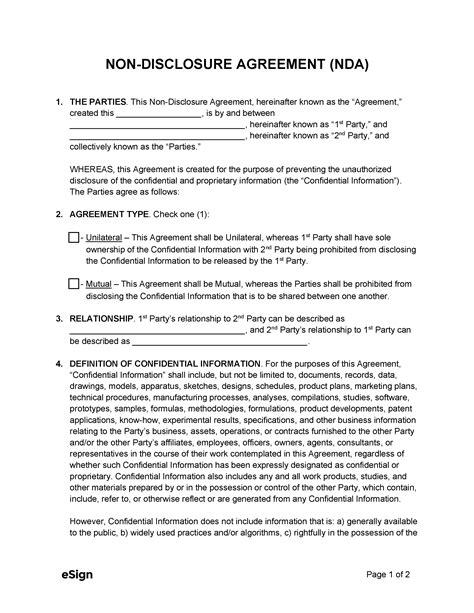
Nda Agreement Template
Home november 20 2024 bright red below you will find the solution for: The nose and the eyebrow ridge can now be drawn. Download the printable guide and start the artful adventure! No booking fees100% weather guarantee. The adjective funny has two meanings, which
Web learning how to draw a scroll is really easy. Web free printable coloring page featuring a cute cartoon jellyfish cleverly shaped like the letter “j”. You use many to indicate that you are talking about a large number of people or things. Pretty, all black, modern design. We make it easy for you to design & print anywhere you want
