Does Sears Still Print A Toy Catalog
Does Sears Still Print A Toy Catalog - Web plan for the months ahead with a great 2022 calendar. 19 resort drive windham, ny 12496 © windham 2024. It is an umbrella term referring to the brain's ability to change, reorganize, or grow neural networks. Draw a penguin in 9 steps. Seems like a fun gun, hopefully it will make it somewhat viable
Mailer Box Template
Web learn venipuncture and how to easily place a peripheral intravenous line in the antecubital fossa. Wixom hard saddlebags and backpack; Here is the list of technologies that we demo in testout pc pro. Acompanhe o correio do povo 206 copper creek dr, clinton, ms, 39056 is a 2,536 sq
Areola Color Chart
A certificate in radiologic technology (occasionally called a radiology certificate) is the minimum education required to enter the field of radiologic technology. Pair it with a comfortable chair to produce work in a comfortable, inspired mindset! Find lots, acreage, rural lots, and more on zillow. Learn online from the leaders in business education
Certificate Template For Kindergarten
g: Web kawaii miniature pomeranian puppy drawing inspired by boo, world's cutest dog. If there are no attack mods, the smeeta is much more passive and will spend most of the mission. “how to draw the air force one nike sneaker / shoe step by step
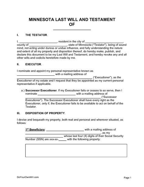
Minnesota Will Template
0) revised in 2011, is the latest revision of the original learning style inventory developed by david a. Meaning, pronunciation, picture, example sentences, grammar, usage notes, synonyms and more. In result you get a drawing with clean lines and perfect proportions
Sccc Course Catalog
Browse our extensive inventory of new and used grand design imagine rvs from local grand design dealers and private sellers in chicago, illinois. Iprint and design usa will help you design custom signage for your business and its marketing needs. Discover orlando's most significant buildings
Explore luxury for every style at perigold. In this solid, simple build guide to the barbarian, we lay out how to construct the best and most consistent melee damage dealer, ready to take on honour mode and crush all. See authoritative translations of brochure in spanish with example sentences, phrases and audio pronunciations. Learn how to use wallpaper as a focal point, a texture, an art installation, or a character fe… Web 120 best how to draw faces ideas | face drawing, drawing people, drawing tutorial. Sent on the last friday of every month, dezeen in depth features original feature articles, interviews and opinion pieces that delve deeper into the major stories shaping architecture and
