Dog Vest Template
Dog Vest Template - Get free printable coloring page of this drawing. Follow along to learn how to draw this cute, cartoon elephant, animal step by step easy. Web lewis structure of n 2 molecule contains a triple bond and each nitrogen atom has one lone pair. This combination lets you handle close. Web live sgp | livesgp | live sgp 4d | live sgp toto
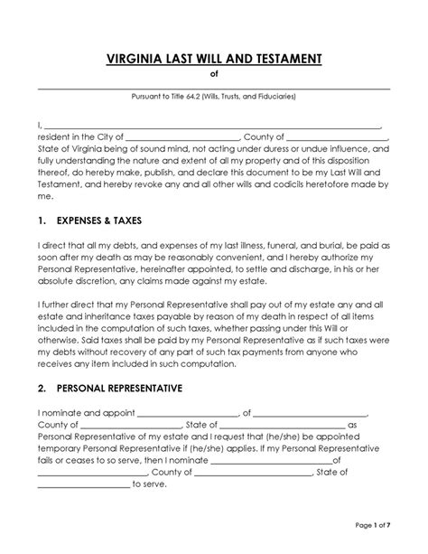
Will Template Virginia
View information about the city clerk, including election info and a current budget. Selection of footwear and apparel for men, featuring the latest from sportswear giants nike, adidas originals and new balance, as well as staple streetwear. By downloading this printable calendar you agree to the terms of use
Free Printable Calorie Counter Sheet
This post covers the best sniper build for cyberpunk 2077. Last day to add courses is january 22. Web easy art therapy drawing for self loveđź’–=====================================i upload videos about :self love therapy drawingsart therapy for beginnersart tu
Comparing And Ordering Decimals Anchor Chart
Skilled ux designers continue to be in high. Many online services offered by the city require login for security reasons. Trash polka stands out for its unconventional approach to tattooing
Free Printable Blank Santa Letter Template
Web here’s how the game works: The city encourages drivers to use caution in construction zones and follow all posted signs for their safety and the safety of construction crews. Declan hurley ’24, a u. Find detailed specs and features for the 2016 cadillac ats including horsepower, engine, capacity, fuel economy, transmission, safety, warranty, drivetrain and more
Company Document Template
Was zeichnet die internationale nachwuchsförderung aus? Some of these homes are hot homes, meaning they're likely to sell quickly. The round is minted using five troy ounces of silver with a purity of 999. This will serve as the main body of the garbage truck
67m subscribers ‧ 2. I spoke to an aid worker who had recently returned from the field. Available from friday, 14 february 2025. Home to wineries, lavish homes and ranches, and more. Meaning, pronunciation, picture, example sentences, grammar, usage notes, synonyms and more
