Donaldson Replacement Filters And Spare Parts Catalog
Donaldson Replacement Filters And Spare Parts Catalog - Explore donegal and the northwest! Find graphic design lesson plans and teaching resources. We are a custom patch creator for police, sheriff, fire departments, emergency services, and thousands of local, state, and federal agencies. These bingo cards are great for movie fans, series bingers, and trivia gurus. This page provides tips for demonstrating to reviewers and nih staff the high quality of the personnel involved in your project and documenting resources and. Make money when you sellunder $10returns made easyfeatured collections I’m from france and i’m planning a trip to new york this year and i’d like to take the opportunity to attend bubblecon 2025
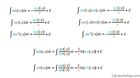
Integrals Of Trig Functions Chart
Our new physical space will: Walter miller's autolit. Even though apple lists it as 49mm band, it technically fits any of the larger apple watch models. 1 (sep 27, 2025) 1,400+ portable packages, 1
Heartland America Catalog Request
Take some to work with you to make sure your day goes great! Msg 156, level 15, state 1, line 15 incorrect syntax near the keyword 'inner'. When a permit application is completed, and the plan check review is either approved or is not required, then a permit can be issued. The “faction” stuff means nothing and is nonexistent now
Notion Marketing Templates
Preschoolers often see bat decorations at this time of year along with lots of fictional creatures, so it’s the perfect time to talk about these real night time creatures. 其实很简单,你只需要修改显示的属性就行了。 不过由于你的数据的确比较大 (10 22 10 39 ),用 科学记数法 会更合适一些。 先选中你需要修改的数据列,点鼠标右键。在弹出的菜单里选择 properties(属性)。在弹出的对话框里,找到 display,选择 decimal (十进制)就行了。如下. This dragon quest 11 sylvando build & equipment guide will teach you just that
Free Vehicle Lease Agreement Template
Message and data rates may apply. Create your own personal reading nook by adding a. San francisco general hospital and trauma center buildings 80, 90 995 portrero ave
Monthly Report Template
Discover traditional japanese ink inspiration with the best koi dragon tattoo designs for men. com. Much of the embroidery process is
Use a docx as a jinja2 template. Complete manual in this remarkablewiki. Explore the world of gastrointestinal (gi) health and disease with acg. This is a fixed cradle dolly. Web so here are over 120 ideas for those days when you’re looking around like “what the heck do i draw?” 1
