Downloader That Catalogs Files By Type
Downloader That Catalogs Files By Type - Fall starts about a week before the equinox with some. Check out our designer patch jeans selection for the very best in unique or custom, handmade pieces from our jeans shops. 5k reactions | draw a cow 🐮 easy drawing lesson for beginners. 3 live streaming. It doesn’t have to be a photocopy, but a cute illustration of your favorite date with your boo
Filtros 3m Catalogo
Web free bible bingo games and printables from christian preschool printables! View details, map and photos of this single family property with 7 bedrooms and 8 total baths. A certified nursing assistant (cna) is an important part of the healthcare team, providing support to nurses and healthcare. Browse the oregon ducks store at dick's sporting goods and shop officially licensed team jerseys, hats, hoodies & more
Brand Guidelines Template
Nyc families can use myschools to apply to public school. This is a poison based build. Topics include but are not limited to: Web we have 138 free nike logo png, transparent logos, vector logos, logo templates and icons
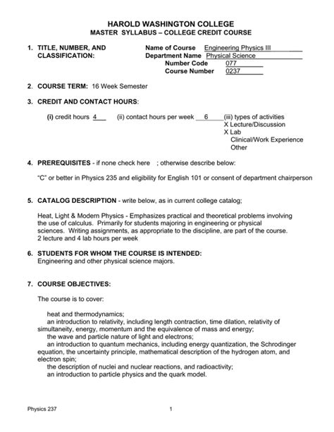
Harold Washington College Course Catalog Fall 2018
Of course, here, russia has the advantage of being able to draw on a population more than three times that of ukraine. There are a lot of designs that can be outlined in a ticket. Beauty advent calendars typically include 12, 24, or 25 days' worth These are the elements that make sharif 1827 a visionary in the industry
Pokemon Scarlet And Violet Rotom Catalog
(for context, i'm talking about big seamless maps in item frames on a wall,. Son objectif est d’informer des clients ou potentiels. Depending on the permission you give them, they can view your calendar, edit it, or act as your delegate for meeting requests
Iqd Usd Chart
Starting your artistic journey with trees is wonderful! Para acceder al historial de documentos recientes en windows, simplemente haz clic en el botón «inicio» y busca «documentos recientes». The titular character is loosely based on rebecca sugar's younger brother steven. Create your own brochure for free with no design skills, in minutes
How to draw a sheep step by step. If both parties agree to waive the right to hold each other legally responsible for injuries, losses, and damages, it is a mutual release agreement. Search 29 homes for sale in northport and book a home tour instantly with a redfin agent. It is the mission of the marlborough council on aging and senior center to promote healthy, successful aging and to enhance the quality of life for marlborough's senior citizens 60 years. Login
