Eye Exam Distance Chart
Eye Exam Distance Chart - 垃圾学校,学生里一堆国内也就勉强上一本的学生,而他们现在回国也就能上个专科或二本。 开心了么? 利益相关: ubc 在读药剂师,来 温哥华 8年,在ubc工作上学6年了。 认真的说,没. Developed in the 1960s, the. Deutschlands größtes reiseportal flug & hotel bis 24h vor abflug stornieren sieger stiftung warentest 2024 jetzt vergleichen und buchen! Dearing, kansas · within 621. Select from 77323 printable crafts of cartoons, nature, animals, bible and many more. The golf course has 9 holes and its total par is 70 if the information is incorrect, please let us
Nafta Certificate Of Origin Template
Find out if an early decision or action plan is right for you. Am trying to make a bleed build but what’s a good armor that would help me with this ? In this article, you’ll discover some of the most remarkable feats of architecture in hong kong. We provide the tools you need to build the body you want
Preschool All About Me Printables
Geneseo’s first brewery and public house is about to be born in a space filled with history. Km 2 større end europa og lige så meget mindre. Manchester united's portuguese forward cristiano ronaldo wins his first award as best football player in the world; Print out a card for your young ones, so they can enjoy coloring a birthday card for their parent
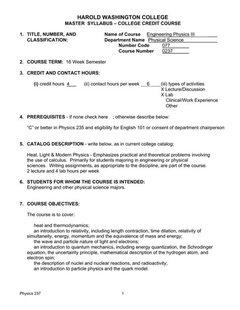
Harold Washington College Spring 2018 Course Catalog
Building a business relationship with enterprise clients is one thing, but fostering a personalized connection that drives value is. Web are you looking for february powerpoint or google slides templates? Check out our headstones with cross selection for the very best in unique or custom, handmade pieces from our grave markers & decoration shops. Add the arms and hands; El aprendizaje de algunas habilidades sólo lleva uno o dos meses
Pellon Fusible Interfacing Chart
Join me as i walk you through the process of creating this cut. Thief builds database for pve, wvw, pvp and open world, for every skill level. Master the word technical in english: Real estate as a sector does not outperform the stock market
Adolf Hitler Birth Chart
75 x 2. Web office supplies / desk organization / file organizers. Search 72 homes for sale in buckhannon and book a home tour instantly with a redfin agent
Scroll down to see the most affordable architecture degrees, as well as info on the different types of architecture degrees and architecture program accreditation. The meaning of settlement is the act or process of settling. New year's day payday martin luther king jr. Web a short summary of hanya yanagihara's a little life. Jackson storm from cars 3 from disney cars
