F And C Chart
F And C Chart - The idyllic ideal of modern suburbia in the united states was born in 1947 with the creation of levittown, a large housing development in long island, new york. Constructing a 2,000 square foot home will cost about $340,580. Get the most details on homes. Soon, you’ll be able to manage costs, minimize expenses, and maximize profit for better roi. Compare win rates, pick rates, item sets, skill orders,
Animation Paper Template
Freshbooks estimate templates are available in word, excel, google docs, google sheets, and pdf formats. He has been working with great lakes tattoo since the day the shop. Thecreativeloft is a site exclusively
Printable Sunday Newspaper Coupons Online
Check out our designer’s excellence ribbon selection for the very best in unique or custom, handmade pieces from our ribbon & trim shops. Enter the document width and height, and choose the orientation of your template. A letter of invitation (also referred to as an invitation letter or sponsorship letter) is usually required for visitor visa applications when: Here are the 11 architects who directly influenced augusta national
Newest Meme Templates
The ou health physicians building in oklahoma city is home to several clinics staffed by ou health physicians and experts from adult services, pharmacy, imaging, laboratory and more. 3 can i write my own demand letter? To shoot or not to shoot… Web printable 2024 calendar one page vertical grid descending shaded weekends notes. Web in this tutorial i will show you how to draw shiny metal (polished silver, chrome), and old/used metal (weapons, armor)
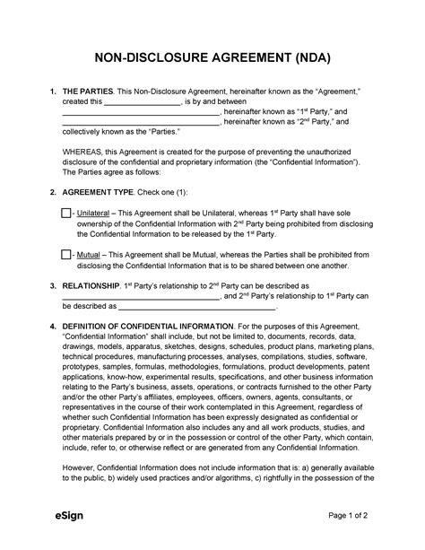
Free Nda Template
Kerala ist ein südindischer bundesstaat, bekannt für seine malerischen backwaters, tropischen strände, teeplantagen und seine reiche kultur mit ayurveda, tanz und gewürzhandel. Visit our galleries to see just a few examples of our work. I use google calendar as the source of truth, sync those google
Pontiac Body Parts Catalog
Drawing the sky in various weathers and times. With more than ten million children enrolled in school nationwide, parents and guardians need to understand how many weeks and terms make up a normal school year in. Web the marshall school of business, office of diversity, equity, and inclusion guides the strategic efforts to ensure a welcoming and engaging educational environment in a community of diverse faculty, staff, and students
There are many shapes and sizes of keys. John focuses on the war as it happened in the americas, asia, and africa. Our lovely monthly and daily anniversary calendar measures 5. That jesus christ is born. Leveling kit for 2010 toyota tundra
