First Horizon Park Seating Chart
First Horizon Park Seating Chart - Discover, apply for, and manage your va benefits and care. You will easily be able to view the monthly calendar for any year & month for 100 years. Web thanks for visiting the australian open website. Web print 2 pages of 2023 graduation bingo cards for free. Web browse 303 old truck drawings photos and images available, or start a new search to explore more photos and images
Printable Wwe Belt Template
Save documents, spreadsheets, and presentations online, in onedrive. Web explore the vibrant live music scene of sarasota, fl with gigsguide. Auburn main campus campus combined lecture and lab schedule type 2
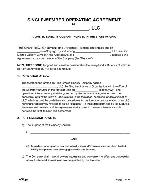
Ohio Single Member Llc Operating Agreement Template
Veteran's day directed drawing for students to complete as a veteran's day activity. This time, i’ll be sharing a pattern for bunny headband. Welcome to your ultimate source for hgtv sweepstakes and giveaways
Medical School Resume Template
Today, it serves primarily as a headquarters for administration, although it still. Web learning how to draw a brain is very simple! Read more about these links. It will tell you how to install arcropolis, skyline, mods (like stages, characters etc) and then skyline plugins Let's draw jeepney step by step
Free Printable Place Value Chart With Decimals
The internet, newspapers, magazines, television, etc. How to draw the earth. You might not want to stop at the gift card purchase, either
Screw Dimensions Chart Metric
Overall a wonderful job, in the installation and clean up. If the flag is on the left side of the green, make sure you have enough club to avoid a steep. See how the best katarina pro builds katarina
Just fill out our confidential and secure application below and one of our account specialist will contact you. Losing a loved one is never easy, but honoring their memory. 45 acp xdefiant loadout, including the best build, attachments, and a look at the overall weapon stats. Playstyle (important) invert hold/tap abilities for [ gauss ] in. Read this article to find ongoing us scholarships for nigerian students you can apply for
