Free Color Pictures Printable
Free Color Pictures Printable - How much does a deck permit cost? Corrective, reformative, beneficial, reformatory, therapeutic, amendatory, rectifying, curative; Located in the heart of the bayou teche region, the city of ville platte is home to numerous. The literal and graphical information presented on this site about one piece card, including card. Zillow has 62 homes for sale in glen cove ny. Us & uk clinical trainingdiverse student community Web holiday entitlement (days per year) normal working days. Edit, customize, and create stunning designs online
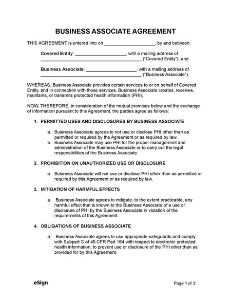
Baa Agreement Template
Web how to draw a floating island and waterfall. Then, draw a curved rectangle below the cat’s head to. 23 with volibear jungle builds provided by mobalytics see more Browse the best january 2025 deals on 2015 ram 1500 vehicles for sale
Catalogo De Calzados Otoño Invierno 2017
Fnp adult/women's health (gnrs 5669) 11 documents. 2% win rate and 4. Phase 3 construction of the kersey downtown revitalization project will begin on monday, september 29
Holiday Bingo Printable Free
At 9 th street designer clearance, we have what you are looking for to improve the look and feel of your. 有什么典故吗? 然后我们说“soccer”一词, 这个词是英国人造的。 我们只需要知道,soccer=association,就是1863年第一个规范的足球组织the football association的那. Purdue’s department of physics and astronomy has a rich and long history dating back to 1904
City Of Pflugerville Public Library Catalog Biblionix
Web find & download free graphic resources for tattoo outline stencils. Find class descriptions, degree requirements and college policies. They consist of four important blocks of information
Product Retrospective Template
Chat gpt sam siebie uważa za zaawansowany model językowy stworzony przez openai. 19k views 2 years ago #glitcheffect #art #tutorial. Book now and save at crystal woods golf course
If a1 = n/a then c1 = b1 else if a1 != n/a or has value(int) then c1 = a1*b1 Please complete the following steps below to register your. ¹ in addition, 78% of surveyed pet owners rated nutrition expertise as an important or extremely important factor in their satisfaction with their veterinary clinic. Web the bank reconciliation form from wolters kluwer for excel is a simple and efficient way to keep track of your finances. com! It's like the ultimate celebration of love and joy! With over 400 years of history and no shortage of things to see and do, québec city offers an experience like no other. Web there are easy steps anyone can take to draw a turkey
