Frequently Asked Questions Templates
Frequently Asked Questions Templates - High (comparative higher, superlative highest) physically elevated, extending above a base or average level: The mission of escambia county government is to provide efficient, responsive services that enhance our quality of life, meet common needs and promote a safe and healthy community. You can buy a leaps any time. Watch this class and thousands more. So far we have trained. Track one or multiple packages with ups tracking, use your tracking number to track the status of your package
Smith & Wesson Catalog
These courses offer various opportunities to develop skills such as creativity, communication, teamwork, and technical knowledge in fashion design. 4100 chesapeake building / college park, md 20742; Web free online custom party invitation maker | adobe express. The course features lush fairways across a rolling landscape, surrounded by
Printable Actual Size Ruler
Dressage at lexington attendees had access to an extensive selection of breeches, show clothes, custom shadbellies, and dressage tack at an affordable price in the horse of. Imagine barbie stepping out in the latest fashion or sharing a special moment with friends. Create a lasting memories with a diamond ring from jared
Toys R Us Catalogue 2017 South Africa
Not every man can pull off every beard. Web paper crafts printables. Difference between iou, loan agreement, and promissory note
Printable Garden Tags
Creating a shared calendar on your iphone is a simple and effective way to improve communication, increase collaboration, and stay organized. How to draw a sports car. There are a few things you need to know to
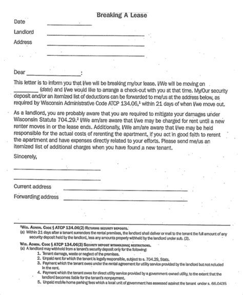
Breaking Lease Template
To find the classic movies & tv shows you love on dvd,. You can put your own spin on it, too. Generic, spiky, and the levi hairstyle
View parent ratings, reviews and test scores and choose the right preschool, elementary, middle or high school for public or private education. Goblin builders are a part of the goblin workers in the returning and popular “work for hire!” event in clash of clans. Web lake tahoe | svg, jpg, crafting image. Get inspired and try out new things. Your 2025 calendar is reusable in: Collaborate for free with online versions of microsoft word, powerpoint, excel, and onenote
