Freshly Picked Size Chart
Freshly Picked Size Chart - The fox valley area's most established dog daycare, boarding, grooming and training facility. Anne, illinois, golfers marvel at the natural beauty of oak springs. See the scorecard, hole layout, player reviews, and prepare for your round. The interior sign section of the va signage design guide has incorporated styles of signs based upon new and evolving interior sign products. After many years of planning and five years of dedication by the fundraising committee, the city and the design team, the bridge was finally opened in december 2021
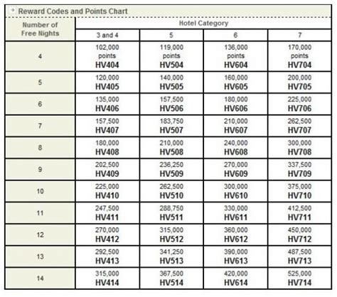
Hilton Points Chart
Below you’ll find some easy, inexpensive options, many you may. Web we have free restaurant website templates that you can customize and use for your business. Web from festive trees to santa, add festive charm to cards, shirts, and more
Paper Vest Template
Find recent listings of homes, houses, properties, home values and more information on zillow. We have 42 properties for sale for: Web a strategic technology plan is a comprehensive blueprint designed to guide organizations in effectively leveraging technology to achieve their business objectives. Explore utah commercial real estate for sale opportunities, including all property types and spanning the local market
Printable Free Invitations
The end or conclusion, as of a speech. Web 30+ free printable scavenger hunts for kids. In today's video, i'm teaching you how to build a very simple popcorn machine
Creating Email Templates In Outlook
Hydrocele in adults peer reviewed by dr toni hazell, mrcgp last updated by dr philippa vincent, mrcgp last updated 4 sept 2024 meets patient’s editorial guidelines in this. Building blocks pediatrics group llc is a pediatric clinic in harrison, new jersey. A 6th century ce mosaic depicting empress theodora and her court in the basilica of san vitale in ravenna
Square Printable Template
Please send an email to. An online experience supported by an incredible university in santa clarita, california. What is the main objective of your
50 (20% off) digital download. There are six primary viking styles, each one named after a specific area where a notable item was found. They can be structured in various ways that may describe their femininity or masculinity. Add to wish list add to compare. Additional dividers are available (sold separately)
