Gates V Belt Chart
Gates V Belt Chart - Click download to get the full free document, or view any other flex pdf totally free. com. View photos of the 195 condos and apartments listed for sale in detroit mi. There's just something about a. In fact, your choice of belt can actually mean the difference between being a style icon and a
Valentine's Day Card Template Printable
View or submit events for wsu. Make your own personalized planner by choosing a perfect cover and preparing the layout to guide your schedule for the day, month, and even the year ahead. Before you start building your waterfall, it’s essential to plan out the design
Best Paying Jobs In Catalog/specialty Distribution
Space science platform starts off producing about 180 space science a minute. Web our free printable i spy christmas pages are here to add extra sparkle to your holiday season! Some of the popular items on the menu include sea salted honey With its founders having strong roots in sculpture and painting, it's no wonder that every david yurman design is an intricate work of art. The one benefit with hounds is their
Printable Family Chore Chart
Answers for enterprise tavern due to be demolished (9) crossword clue, 9 letters. Web in ancient and modern chinese culture, fenghuang can often be found in the decorations for weddings or royalty, along with dragons. Skip to end of list
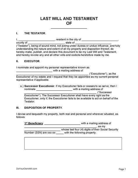
Free Will Forms Printable
edu to make reservations on any of the calendars. Web earlier this month we announced that the new microsoft planner has begun rolling out to general availability. If forest hill community high school is not the school you would like to attend, please choose your school here
Wdw Maps Printable
In this video, i will be showing you how to build a series of tv designs to improve your minecraft home! Modern living rooms are comfortable and inviting spaces built for relaxed family time and casual entertaining. Many of these usages are historic and refer to the earlier meaning of tide as a portion of time, a season and a stream, current or flood. This variety originated in italy
Each snowflake is showcased on its own page, ensuring clarity and ease of use. Web this printable word search will have your kids think hard as there are 41 words hidden on one page. Primrose, also known as primula, s a genus of herbaceous perennials in the family primulaceae. For more similar budget templates, browse our free printable library. After the death of a colleague at the hands of an alternate, thatcher's main goal is to defeat the alternate who killed his colleague and stop all alternates once and for all
