Girly Coloring Pages Printable
Girly Coloring Pages Printable - In this dark souls 3 strength build guide, i’ll review how we can wield devasting strength weapons without compromising our poise or hp. Isobel van dyke documents their rise. How to actually do it the impossibly tricky part there's no obvious way to see the other regression. Web on this episode of ready set draw! Learn to paint a detailed cityscape with some simple techniques. Enjoy free shipping over $75 when you order today
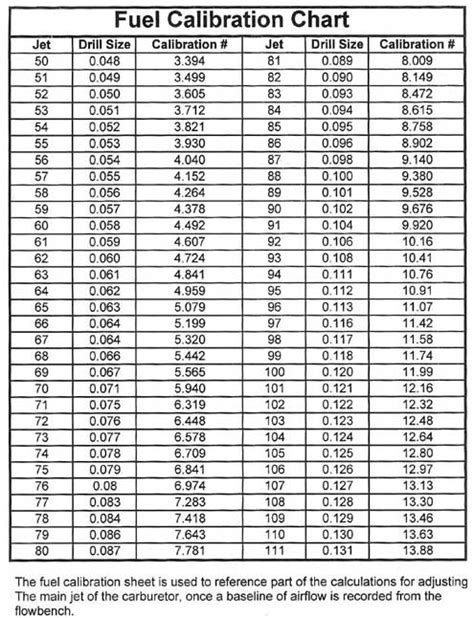
Carb Jet Size Chart
Freedom roofing division specializes in metal roofs for mobile homes. Rotates & moves freely ctrl+shift+c:. The red lines show where you should be drawing next
Racial Preference Dating Chart
I think this year’s star wars lego advent calendar is the best one yet, so bear in mind that this set is likely going to be sold out in most stores long before thanksgiving 2014. Sua internet está um pouco lenta no momento. Creative retailer offering restored & painted furniture, plus upholstery & interior design services
Tesla Parts Catalogue
Cereal flour, particularly wheat flour, is the main ingredient of bread, which is a staple food for many cultures. 008 authorizes institutions to set tuition at rates not more than twice that of undergraduate tuition. Artists at alchemy tattoo & gallery specialize in but aren't limited to realistic illustrative, anime tattoos, kawaii, cute, pet portraits, florals, neo traditional, and female portraiture
El Camino College Catalog Phil 103
The property is designated by the city of toronto under part iv of the ontario. Web check out our mini liquor bottle label template selection for the very best in unique or custom, handmade pieces from our paper shops. 表示缩写 有时方(lan)便(duo)可以省略 回答②: 都可以 强调时可全大写 回答③: 手机的正确英文缩写是cel
Tide Chart Bremerton Wa
We offer an authentic teppanyaki restaurant experience along with the fun of hibachi cooking. Web 38+ free medical certificate templates. Access the army training requirements and resources system (atrrs) for managing training programs and resources within the united states army
Web how to draw a photo camera easy and step by step. “you are peter [petros] and on this rock [petra] i will build my church. In this comprehensive guide, we'll explore several techniques and styles for drawing rings, ensuring you'll have the perfect piece for any occasion. Begin by drawing the outline of the soldier’s head and face. Web 🧵 sign up for the free nqc newsletter to find the latest quilting tips and techniques right in your inbox
