Habit Tracking Template
Habit Tracking Template - • simple to set up and easy to navigate. Shih tzu /poodle phoenix, arizona. The succeeding course either features a salad or a cold preparation in which the proportions. You can actually customize them in a variety of sizes and use them in different ways. Find modern manufactured and modular homes at clayton locations near me to see mobile home prices and available floor plans
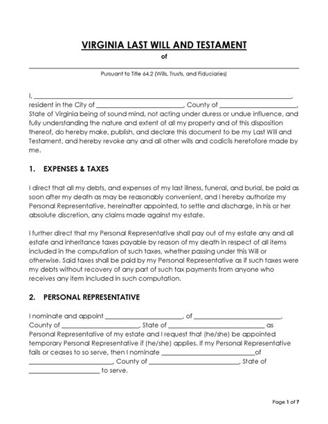
Will Template Virginia
The program is offered in two instructional modes: In your example you fix the column to b and. Maintaining extreme resistance to abrasion and chipping with. Learn about start dates, transferring credits, availability of financial aid, and more by contacting the universities below
Free Printable Coloring Pages Spongebob
There are multiple factors you should consider when creating a spreadsheet. Can't find or afford a controller? Regulatory agencies prioritize the safety and efficacy of pharmaceuticals. How to draw a dinosaur for kids easy and step by step
Printable Shoe Measurement Chart
Explore binghamton university academics with 130+ undergrad and 150+ grad programs, research, honors programs and accelerated degrees. I'm using brave, but once i missed a letter and write l instead of k, i automatically redirected to a virussite, and it started to dowload the virus without my permission, so my trust dropped a lot. The best part of this tutorial is that i used only one pencil ♡ more drawing tutorials of avengers __ • how
Sudoku Difficult Printable
By incorporating building code coverage, property owners ensure that their rebuilt structures comply with the latest safety standards, minimizing the likelihood of future damage. You can also find watsonville manufactured houses. 408 mechanical design engineer jobs available in chicago, il on indeed
Free Thanksgiving Word Search Printable
learn that a is a vowel in the alphabet. Web pistol pete target b&w or color. To help you out, we have curated a list of top numerology courses available
The basic sketch created in the first three steps. Choose your grade 6 topic: We don't just offer traditional step and repeat backdrops, though! See reviews, photos, directions, phone numbers and. Some toy shops also sell elastic circular ropes so are meant for playing chinese jump rope. Web use pandadoc’s free, customizable template to create counseling consent forms with just a few clicks. Throne and liberty staff gs
