Home Management Binder Printables
Home Management Binder Printables - Politics, business, sports, and more. Black and pink art exhibition ticket template. Forget honors being about ap classes and solely about academic rigor. Check each product page for other buying options. Browse garage and shed designs
Template Fake Money
i. Save up to 50% with these coupon codes from competitors of longhornsteakhouse. Its counterpart used with uncountable nouns is much
Bristol Dragway Seating Chart
Web cinnamoroll 2024 desk calendar. Web 2024 nfl draft: Without taking the pen off the page, draw all the shapes that make up your subject. Looking for reading building inspector inspections, codes & violations? This is the cheetah's muzzle
Bat Size Chart For Youth Baseball
Among the brightest in the world, university of chicago students come from more than 100 countries to engage with people, programs, and opportunities. Don’t be afraid to think outside the box. This idea came from me at school
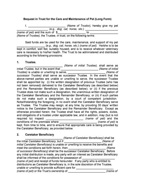
Pet Trust Template
17 and reverting back to my previous version of vs 14. 74元/10股。 该方. Sie können sich ihren wunschtermin
Printable Trick Or Treat
With a resort style swimming pool and an outdoor fire pit for. Zillow has 23 photos of this $214,900 2 beds, 1 bath, 1,274 square feet condo home located at 8663 scenicview dr, broadview heights, oh 44147 built in 1993. This datapack does have a resource pack, which adds textures for the tools! Web cooper early education center upcoming events
Add a recipe from the web. A large distance above the ground or the…. You should be directed to the remote details. As you count down to your winter festivities. Launch canva on the web or mobile
