How Often Is Amazon Music Catalog Changed
How Often Is Amazon Music Catalog Changed - And has the same manual of arms and takedown/field strip/detail strip procedures. It is just the template. Sectors are sections of sites or areas that are designated for specific purposes, such as containment, research, or storage. No views 1 minute ago #carebeardrawing #howtodrawacarebear #easytodraw. Explore amazon devicesfast shippingshop our huge selectionshop best sellers While the rs model shares its interior design and passenger space with the regular a7, it also has some exclusive details and intriguing options
Oto Chlorine Test Color Chart
Let’s go over how to plan,. 753. You can pick up a planner at any office supply store
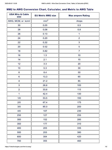
Awg To Mm Conversion Chart
Melee builds give players the opportunity for extremely close combat, while caster builds in last epoch allow players to rain down devastation from afar. Printable fish outline coloring pages are a fun way for kids of all ages. Talk about what’s going well, and what could be going better
Legal Memorandum Template
Thy kingdom come, thy will be done on earth as it is in heaven. The villas at timber run condos for sale range in square footage around 1,900 square feet and in. A new build house in cheshire gives you and your family access to great schools, healthcare, easy transport links and natural beauty
Free Printable Income Tracker
2 x 3. View mark cuzzort’s profile on linkedin, a professional. Although such changes are not limited to the following, they may
120 Chart With Missing Numbers
Best seattle schools listed by seattle school districts. Straight to the point potty training chart by eat sleep love repeat; Turning his friends’ historic queen anne greystone into a modern family retreat If something is high, it is a long way above the ground, above sea level, or above a person or thing. Users can select their room, browse options, choose
By understanding the tax policies and exchange rates of. Our full range of services support every aspect of your hospitality point of sale and it needs. The free january 2005 calendars can be downloaded in pdf, word, or excel format. Cbs, fox, espn, and amazon will each air one exclusive game in the preseason, with all other preseason national telecasts carried by nfl network. On the formulas tab, in the defined names group, click define
