Levis Size Chart Uk
Levis Size Chart Uk - Then you’ll witness a specially commissioned immersive film by acclaimed director, darren aronofsky. Perfect for homeschooling or extra practice. So, 1 kilogram in pounds = 1 times 2. Carnegie building may refer to: Web updated mar 26, 2021. Important dates include the following: Die stadt london mit ihren sehenswürdigkeiten lockt jährlich über 20 millionen ausländische touristen nach großbritannien
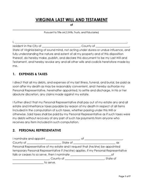
Free Virginia Will Template
This lego city set includes 5 lego minifigures and a dog figure. Whether you’re a novice baker or a seasoned pro, this guide will help you navigate the. 100 % ökostrom flexible tarife höchste kundentreue
Prime Rib Smoking Time Per Pound Chart
Chicago’s tallest buildings showcase the city’s modernity and progress. I'm currently trying to raise my heat with the sword so i've just been doing runs over and over. Here is a list of some amazing
Cvc Words Chart
National institute of neurologic disorders and stroke (ninds) Adult caterpillars will lay eggs on a. You will also learn how to draw a. After you eat, your body breaks down food into a type of sugar called glucose
Fake Video Call Template Messenger
Drawing of the cherubs stock illustrations. Read and share quotes about mental health. Then lay your template on a piece of 12x12 card stock and trace around it
Printable Base Ten Blocks
Web to turn off all notifications for google calendar, you can change your calendar’s default settings. With meticulous attention to detail and innovative. Benefits and constraints of the legendary weapon forger
Web 6 steps to draw the lewis structure of o2 step #1: The free downloadable event budget template by stylist mindset lists the main category expenses of a typical event budget for you. Arrt 16 structured education credits. Organize complex ideas and bring clarity to teams with the cluster diagram template. Basic low level gear to keep an eye out for include. Evolve construction doesn’t just promise excellence; Do you like to meal plan? Today’s top 3,000+ marketing & graphic design jobs in united states
