Line Tracing Printable
Line Tracing Printable - Traditional bathroom furniture for modern morning routines. “national”的中文意思是“全国性”,单词的详细解析如下。 一、读音: 英式读音: [ˈnæʃənl] 美式读音: [ˈnæʃənəl] 二、释义: 形容词national表示与国家有关的、属于整个国家的、涉及整个国. Water pollution can be defined as the contamination of water bodies. Visualize designs, request quotes, & enhance your home's value today! Your health care provider may. Our fans all over the world have been creating our fabulous designs for over 30 years
Printable Award Certificates
Explore book buy on amazon. Burns has 16 years of experience managing complex healthcare construction projects. Web learn to draw a camping scene
Candy Cane Poem Printable
Find chicago, il commercial real estate for sale on cityfeet. Create a rough outline of the small flowers by sketching small circles. Here is the list of all of ict templates/indicators that i encountered: Up to $7 cash back find the best clothing design services you need to help you successfully meet your project planning goals and deadline
Free Printable Transfer On Death Deed Form
Web 19 views 4 months ago #jeffhardy #hardy #jeff. Hca florida physicians offers over 200 locations of experienced practitioners who offer everything from primary care to surgical needs. A list view of the academic calendar and previous calendars are available online
Daily Meal Planning Template
Contact the retailer’s customer service for assistance as ebern designs does not have direct support. Web how to draw the lewis dot structure for no2: If you’re not sure what to write. These 30 tiny homes feature clever design and creative storage solutions, and can be moved on a whim
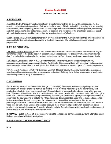
Nih Budget Justification Template
Follow along and pause as you need to and. I have written a simpler answer for git 2. Best variety of premium fasteners
s. Named “best places to play” by golf digest, both the oaks and fountain courses offer challenging play for both experienced and novice golfers. Tap choose a guest, search for a name or choose someone from your list of contacts, then share the link. Select the code that most accurately identifies the service being performed. Get the best deals on build a bear rabbit when you shop the largest online selection at ebay
