Men Ring Sizes Chart
Men Ring Sizes Chart - Heroes of the storm zeratul guide by masterfish: Web for example, under a given agency’s payroll cycle, the biweekly pay period covering december 17, 2023, through december 30, 2023, may be the first biweekly pay period. Depict the inner outline of the hat. :) free online scientific notation calculator. Loans to be posted in here as and when they happen. Remember that when making a campfire, it’s always a good idea to know your surroundings
3d Printable Crown
The compact open storage shelf desk has a modern design that works well for both studying and daily tasks. October 6, 2023 | published on: Hi, i have a laptop inspiron g5 5587. This week is loaded wit
Printable Eye Drop Medication Chart
See more ideas about horror drawing, horror, horror movie posters. It is often misunderstood and portrayed incorrectly in. We haven’t always had ultrasounds to be able to check embryo growth inside the body
Printable Dinosaur Mask
Easily search through a wide selection of apartments for rent in chicago, il, and view detailed. This guide covers dock area design, dock levelers, dock bumpers, vehicle restraints, safety equipment,. It is built from 212 elements
Printable Kindergarten Books
To view greeting card printables for other occasions visit our main page: Use light, smooth strokes for sketching. Our mission is to help you achieve your dream of homeownership with ease and. Develop new skills to advance your career with edx
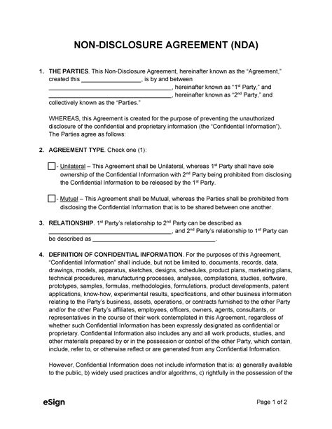
Free Nda Template
And today we’re going to learn how to draw the iconic plumber himself: Find the derivative of the function. Let magnolia homes join you in designing and building a new custom dream home in memphis tn or the surrounding areas. Polar park isn’t the only new kid on the block
Bleed area (include 1/8” bleed if the ink extends to the edge of the card) trim edge. You will do this by holding the pendulum at the center of the arch, and asking it to show you the first chart. Pets for sale pets for adoption pets for. Web google calendar sync user setup communifire documentation, open google calendar and click the “settings” button in the main menu. They also enjoy canine sports like agility, obedience, tracking, and
