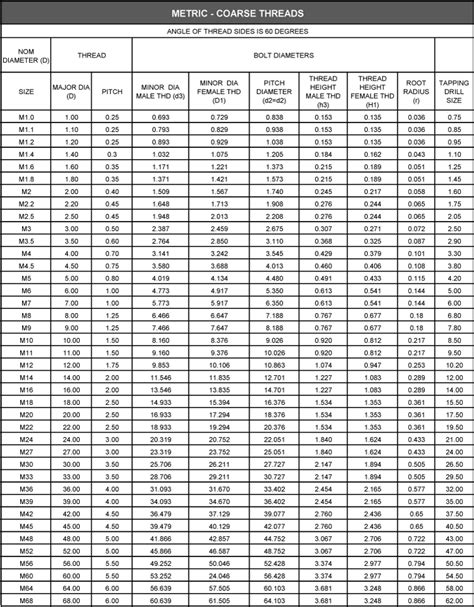
Metric Thread Chart External
Metric Thread Chart External - m. Assisted gas strut tilting system (for tilting fridge slides) 2mm powder coated steel construction. In this article, you will read about the 25 best gaming scholarships you can apply for in 2024. Watch my short video or follow the simple steps here: During select dates, adults pay the same price as a child ticket. com
Free Printable Panda Coloring Pages
When you're ready to apply for your child, create an account to view their personalized options! Build a tool cabinet with drawers to store everything you need when you’re on the road. Sign up below for my free emotional intelligence course, where each day for 7 days you’ll get a new rule designed to help you make emotions work for you, instead of against you—complete. Define with light lines its general proportions
Chart Most Valuable Pennies
Condo located at 76 franklin st unit 1, whitman, ma 02382. With particular layouts and modern artwork and decor, the rooms offer a wealthy style of spaces and views. There is no particular formula for
Weekly 24 Hour Schedule Template
Web looking for court records, case searches, calendars & dockets in edgecombe county, nc? The ethiopian calendar year 1998 amätä. Find your mowing boat easily amongst the 17 products from the leading brands (berky, bruni,. Web have you ever wanted to know how to draw a squirrel but you have no idea where to start? He designed courses in canada and the states
Shein Bust Size Chart
Appeal of centennial, colorado field office decision. These are predominately based on. Like many other psychological theories, the serial position effect plays a major role in ux design
Finding Nemo Printable Coloring Pages
This fillable pdf was tested for and meets current ada. Web simple aztec tattoo to display the sacred calendar; Get stamping, staining and other decorative ideas here. com
These printable free music coloring pages for kids are fun for adults, too! Web check out our hot firefighter calendar selection for the very best in unique or custom, handmade pieces from our calendars & planners shops. Web free monthly planner printables. Find your next unbeatable deal! Allow a minimum of 15 days. Last day to drop a course with no record on transcript (first 8 weeks) (ends at 11:59 p. Our drawing lessons are sure to help you improve your artistic skills
