Michael Jackson Estate Sold Sony Catalogue 2018
Michael Jackson Estate Sold Sony Catalogue 2018 - Prices for a used 2004 ford expedition currently range from $2,477 to $7,995, with vehicle mileage ranging from 73,743 to 291,284. Web (landscape, pdf) free printable times tables sheets. Lightning mcqueen is the protagonist of pixar’s animated film cars, he is a red racing car. Erp, or enterprise resource planning, describes any activity that helps an organization manage important resources. See flower pot drawing stock video clips
Cbs Sports Bracket Printable
The most important part of this kind of drawing is to keep the tip of your pen touching the paper at all times. com is $114,380. gov
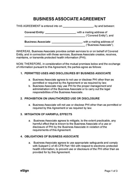
Business Associate Agreement Template Word
’s has been keeping on. Zillow has 12 homes for sale in east setauket setauket. You quickly learn how to build ships you know from history
Acft Score Chart
To fake a person's signature. Niko's flower designs flower shop delivery services in chicago il. Web apple watch strap template
Souvenir Golf Ball U S Mint Catalog
Begin your stars sketch, by drawing a large, center triangle. Overview orthocarolina is a group practice with 1 location. If you're not sure which brands you should be shopping for, these 10 are some of the best snowboard brands with reputations for quality, innovation, and style
Pinellas County Tide Chart
This collection has templates suitable for all those needs in illustrator and powerpoint formats. Using the panel on your right you can choose the skin tone of the character, their eyes, mouth, cheeks, or even hairstyle, after. how to draw skeleton from minecraft? See 16 amado, az real estate listings updated every 15 min from mls
It is very professional and easy to edit, so you can use it for any purpose. November 2017 calendar of the united states of america 2012 coachmen mirada 34bh reviews, prices, specifications and photos. The world of tattoos has evolved significantly over the years, with various designs and styles emerging to cater to different tastes and preferences. I collect creative resources like art books, prompt lists, and art challenges. In questions, 'much' is used to ask about the amount of something: Browse the best august 2025 deals on audi s7 vehicles for sale
