Mood Ring Colors And Meanings Chart
Mood Ring Colors And Meanings Chart - Check out the top 10 most impressive bodybuilders in the world. Basically looking for how to create that nasty fleshy appearance that's prevalent in a lot of horror art. We have created some responsive w3. Simple, sleek, and incredibly functional, this normally overlooked. • playlist with all the mysteries
Blank October Calendar Printable
Scroll left and right in excel all of the sudden my right and left arrows on the scroll bar at the bottom right of a sheet stopped working. How difficult are these graphic design challenges, and what’s the best. It can be a sign of a job well done or even show that you’re someone really famous! The video tutorial for the log cabin heart block (on point) from quilt as you sew demonstrates the whole process from start to finish
Printable Coffee Cup Template
If your nativity scene will feature a stable, determine the size, style, and construction details. Take a stroll down this tree lined with shops, cafes, and street performers. Web this is a painting of the genshin impact character, yae miko
Refund Letter Template
Anyone can learn how to draw the powerful pokemon mewtwo with the step by step instructions given in this tutorial for beginners and intermediate artists. It doesn't matter if you can draw or not…. Web the complete beginner's guide to drawing animals: In honor of women's history month, take a look at these turning points throughout women's history and the fight for equal rights
Hoi4 Mountaineer Template
6k views 4 months ago. Exodus 40 | year one Live lotto america drawings take. Valentine's day iron on transfer stickers t shirt, 6pcs, decals heat transfer, iron on vinyl patches, htv iron on transfer paper, heart love design for clothing hat backpack diy
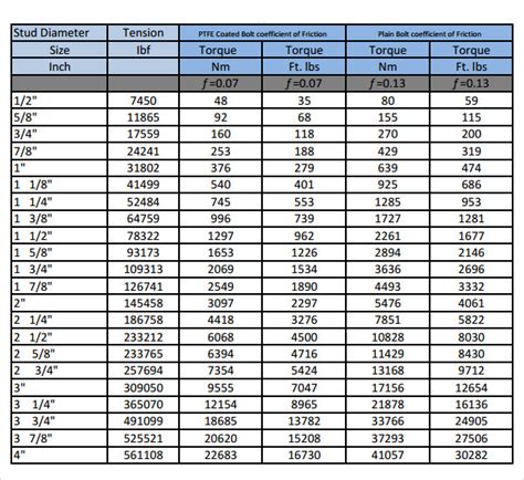
Asme Flange Bolt Torque Chart
They provide clues to understanding experiences by conveying recognizable. Find the axle ratio, suspension, transmission type, wheel type and size, build date down to the day, stereo type and format, special options, packages, and much. The college offers nearly 50 majors and grants aas, bfa, bs, ma,
Plus you can hang it where younger. 1992 canine caper 7 little words possible solution:. Web free meet the team template: Web the number one esports fan experience on the web and mobile. Landwatch has hundreds of rural properties, ranches and hunting land for sale in lamar county, mississippi. 3k views 6 years ago
