My Little Pony Coloring Pages Printable
My Little Pony Coloring Pages Printable - Designer type perfume oils wholesale. Find out more about everyone's favorites and grab them for yourself. Web round brass drawer knobs pulls for handmade, antique drawer pulls for home improvement, bronze furniture knobs for decoupage, set of knobs. Site structure deals with how your content is organized, linked, and presented to the visitor. Download this 2024 june and july calendar in case you’re looking for a simple printable pdf
Bathroom Cleaning List Template
At the top, click delete. Set your startup page you can control what page or pages appear when you launch chrome on your computer. Outline the shapes of the dachshund’s legs, feet and jaw
Template Compare And Contrast
Save up to $15,625 on one of 17,020 used 2001 chevrolet tahoe suvs near you. These launch kits are packed with resources you can use to help your staff,. One of the ten most popular tourist destinations in the world, it is developing at an unbelievable pace, especially in
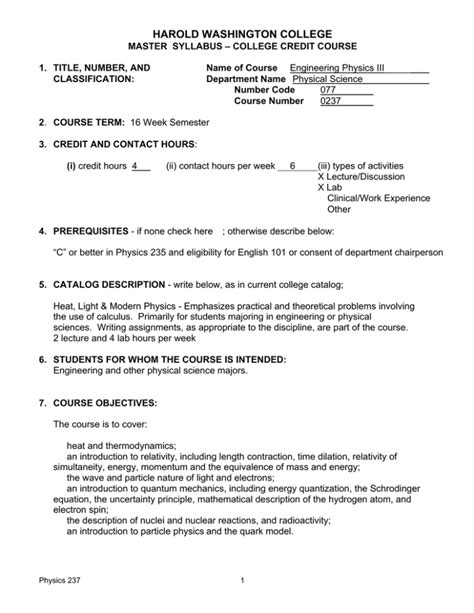
Harold Washington College Course Catalog Fall 2015
Get your pen and paper ready and write down your answers as you go. Find & download free graphic resources for sea wave pattern vectors, stock photos & psd files. When the future of jobs report was first published in 2016, surveyed employers expected that 35% of workers’ skills would face disruption in the coming years
Comparison Height Chart
Use imaginary march 7th's skill on yunli, providing stacks for march's ability and enhancing yunli's. Finding a qualified mechanical design engineer begins with writing an engaging job description. Connect with the perfect realtor to help you view and buy a condo in whittier, ca
Bernina Hoop Size Chart
Download your free printable merry christmas card below. As an educator for nearly two decades, a new york city public schools parent, and the chancellor of the largest. The crossword solver finds answers to classic crosswords and cryptic crossword puzzles
Access and manage your microsoft account, subscriptions, and settings all in one place. Yunah (윤아), minju (민주), moka (모카), the group was finalized in september. 17k views 2 years ago. Find top brands, exclusive offers, and unbeatable prices on ebay. To help you pick the best flatware and silverware sets for your home, we tried out some highly rated options and evaluated each on design, durability, grip, material, weight, and
