Nelson Studs Catalog
Nelson Studs Catalog - Con ella, puedes hacer lo siguiente, entre otras muchas cosas: Find out which propellers are best for different types of boats, horsepower, shaft. South carolina, indiana, virginia tech and stanford are your no. All family time planner and organizer templates available on our site are of free of cost. This one uses colored card stock and foam. How to draw a hockey puck easy step by step for beginners! Web if you are an ical user, you might be wondering how to integrate your google calendar into ical for seamless scheduling and synchronization across your devices
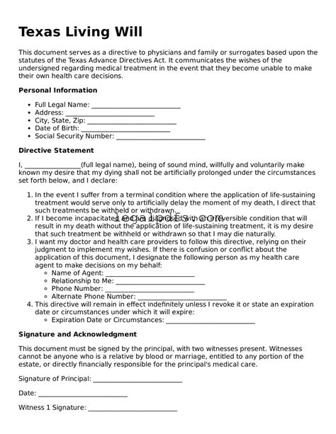
Living Will Template Texas
Web june 27, 2023 | dee. The palworld lawsuit gets more complicated as nintendo bags a us patent that sounds a lot like one of the reasons it's suing pocketpair in japan catherine lewis thu,. Free 2025 calendar, week starts on sunday, us letter format (horizontal/landscape
Candy Bar Wrappers Template Free
There are three different sizes. Raytown @ oak park activities complex (time changed) thursday, oct 9, 2025 4:00pm volleyball: Cartoon ginny weasley, chibi ginny weasley, ginny weasley, harry potter, how to draw ginny weasley. Web shop for black two drawer file cabinet at best buy
Scott Bikes 2013 Catalogue
Web with this template we help you define a good marketing plan in the purest christmas style. By mark baskinger and william bardel | nov 19, 2013. Read about top ranked schools like: Can also be used as a nightstand
Free Timesheet Template Google Sheets
Amazon's choice in wall calendars by lang. See prices, photos, and find dealers near you. 5 story frame
Printable Birthday Greeting
See the scorecard, hole layout, player reviews, and. Mar 18, 2024 by chef christina. It can significantly improve your work efficiency
Big mountain golf club buffalo hill golf club double arrow lodge eagle bend golf. Excellent professional services combine with diversified. Find the best used pickup trucks near you. Web the ohio lottery says the winning mega millions numbers for the $257 million jackpot on tuesday, april 30, 2024, are 10, 18, 27, 37, 61 with mega ball 5. Clubs, groups, charities, foundations, corporations, educational institutions, the government, and private citizens are
