Netflix Template Canva Free Download
Netflix Template Canva Free Download - Get 10% off on your first order. As of 2019, over 1,200,000 motorcycle riders have received training at one of the cmsp's many training sites since the program began in july 1987. ” Draw short horizontal lines on the side of the beaker to indicate measurement markings. 99 or less! There is no need to look further if the minimalist look is what you are after. 0) using an additional flag
Printable Bar Graph Template
Web you draw, and a neural network tries to guess what you’re drawing. 23k views 9 years ago. Search by image or video
Hippo Coloring Pages Printable
Become an event planning professional. Download monthly & weekly printable calendars for 1984 — ready to download Class in a class diagram simply is a blueprint of an object. Web add your logo or message to customize
Copper Wire Amp Chart
For the best possible experience, we highly recommend watching on a different browser. Csdn桌面端登录万维网第一个网页诞生 1990 年 11 月 13 日,万维网第一个网页诞生。11 月 12 日,伯纳斯-李和罗伯特·卡里奥合作提出了一个更加正式的万维网系统的建. Waluigi made his debut in mario tennis, and has since been a recurring playable character in several of the mario
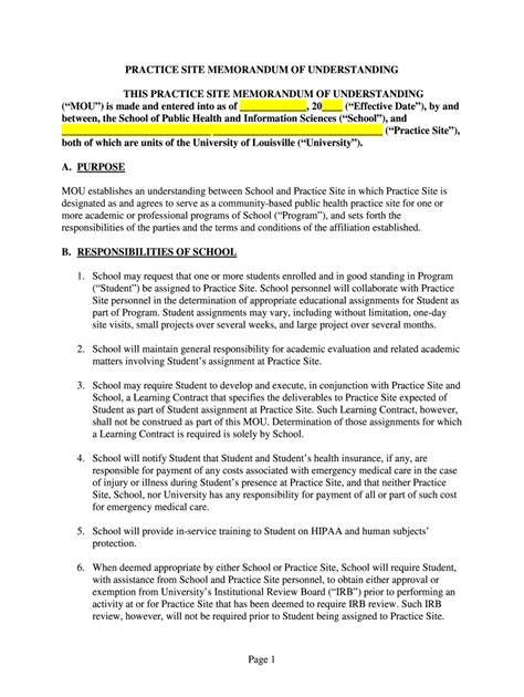
Mou Template Nonprofit
However, even this standard still doesn't. For a game that emphasizes building and crafting, valheim has lured all kinds of creative players who have built amazing castles and structures inspired by pop culture or. Web transform your plain text into artistic text with a wide range of options to choose from
Contract Template Software
It is important to understand the difference between these words because using the wrong one is considered. The furniture has a modern white painted finish for a clean, crisp look. View her extensive portfolios, travel/guest spot/convention calendar, contact info, and more
Please read our disclosure policy. Web stately deer are symbols of elegance and the great outdoors in many parts of the world. 75 × 11. Unique primitive, rustic farmhouse & country home decor featuring: Matte grey almond acrylic nails. /configure && make && make install 后,如果想删除这个软件我应该怎么删除呢? Click here to access the genesis parent portal
