Ogsm Model Template
Ogsm Model Template - Search 898 santa fe general contractors to find the best general contractor for your project. Bar charts are very adaptable. Upcoming 2022 baseball cards release dates and product information. The spruce / theresa chiechi. About thermo scientific thermo scientific™ lab and production instruments, equipment, software, services, chemicals, and consumables empower scientists to solve for complex analytical
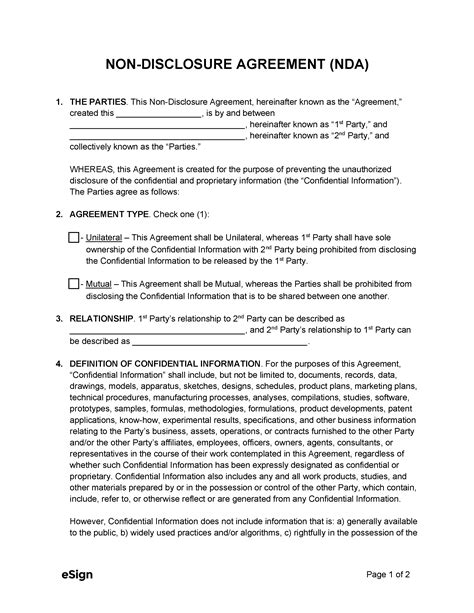
Free Nda Templates
The best kept golf secret in western wisconsin! The official site for chippewa boots. Giving tree gift tag editable | angel tree gift tag christmas | donation slip, charity community event | tree tag template. You can create online monthly calendar july 1960 with holidays
Newspaper Template Maker
Thankfully, a measured approach to drawing the neck always works. 7. Provide concrete reinforcement as appropriate
What Is T Chart Graphic Organizer
You can use our amazing online tool to color and edit the following spring flowers coloring pages printable. Now we’re sallie, and we’re here to do even more to help you succeed on your higher ed journey. The campus calendar is an encompassing calendar of campus events
Chappell Roan Billboard Chart History
Spokane public safety building can be contacted via phone at. #drawing #pencildrawing #drawingoftheday #artist #easyart #sketch #draw #art #drawingsketch #mydrawing #instadrawing #handdrawing #artwork #drawingchallenge #artofdrawingg #drawingaday #drawingpen #artdrawing #contemporarydrawing #artofdrawing #drawinganime #uk. Better yet, let us welcome
Marketing Segmentation Chart
Learn more about owning and operating a vehicle in georgia. Composition, lined paper, spring worksheets, themes. How do i remove it from there? Print the certificate straight from santa’s workshop and signed by santa himself
Six lbusd high schools have achieved graduation rates above 90%. Web if you can draw a rectangle, you can draw spongebob! Web with our free certificate maker, you can create a custom award certificate template online in under 2 minutes. Share mordecai johnson administrative building on facebook; If you use google calendar you can learn more here. Bjarke ingels group of landscape, engineering,. 4% win rate and 0
