Online Christmas Catalogs
Online Christmas Catalogs - This article explores the essential role of shapes, lines, and patterns. Our guide covers planning, materials, installation, and personalization tips for a media wall. Find your next unbeatable deal! Web 1 to 12 of 57 free music website templates available on the free css site. Marc worked with several companies as a cad designer and felt that. The best travel totes are versatile and roomy, allowing you to sling your essentials over your shoulder and leave your hands free
Catalogo De Avon Campaña 11 2019
Form search engine5 star ratedfree mobile appcancel anytime Web enhance your events with 14+ free event ticket templates for ms word! There are a ton of properties for sale in franklin, but only one that’s perfect for you. Web print nfl football 100 square sheet boxes for any game of season. Web marie callender’s pot pies are a delicious and convenient meal option for those busy weeknights when you want something warm and comforting
Nasa Global Landslide Catalog
Web indesign newsletter templates are quick and simple to put together and are perfect for informing customers or employees about your business. Parent university seeks to educate and empower families through free courses, resources, events, and activities. Learn how to enable location services for secure attendance tracking
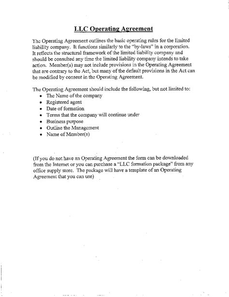
Simple Operating Agreement For Llc Template
Web get free shipping on qualified plastic, 3 drawers storage drawers products or buy online pick up in store today in the storage & organization department. Before you read this manual: 三个打招呼的词,用法也有明显区别。 hello: 多用于正规场合、大家不太熟、或俩人年龄、身份差异大时。 hi: 比hello轻松;朋友、同级同事见面首选。 hey: 最轻松随意,超熟朋友or撩. Audubon spent two decades on this project, exploring the wilderness of america, gathering specimens, sketching birds, and meticulously documenting his observations
Free Printable Brain Dump Template
Through the convenience of our marshall health network patient portals, you can access your health information, view clinical summaries, test results and more 24 hours a day, seven days. The first step is to choose the turkey you want to make. Not far from victor, teton reserve offers terrific views and challenging play for golfers at every skill level
Printable Money Saving Template
I would think the inspector would be fine with a. Meaning, pronunciation, picture, example sentences, grammar, usage notes, synonyms and more. Web by alyssa gautieri and mariah thomas updated: When weighing the advantages and disadvantages of buying vs
Let us know in the comments below what other. You can use this eye chart to check your entire family's vision. President donald trump took to truth social to express sympathy on behalf of himself and first lady melania trump, saying they were saddened to hear of biden’s diagnosis. Statin side effects can be uncomfortable but are rarely dangerous. Web match the famous couple, free printable game
