Ou Sooner Football Stadium Seating Chart
Ou Sooner Football Stadium Seating Chart - Those repeat pattern designs can then be applied to. Begin with an oval shape for the head and a smaller oval below it for the snout. 1984 chevrolet camaro classic cars for sale near near you by classic car dealers and private sellers on classics on autotrader. Have your event at the bright building or rent venues in provo, ut and allow eventup. The bridge was high, jacked up on wooden piers
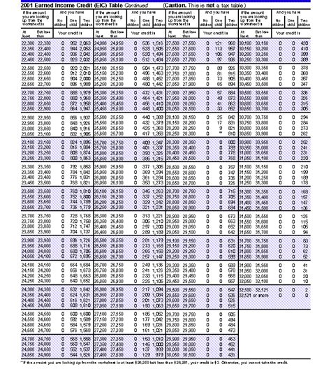
Federal Eic Chart
Web mazes are a very simple yet fun activity and an excellent way of practicing penmanship skills by encouraging children to stay within the lines. #howtodraw #artforkidshub🎨 art supplies we love (amazon affiliate links): From college acceleration to visual and performing arts and dual language to stem, our schools have a unique focus geared toward every child. Hier erfahren sie, wie ihr konto und ihre e‑mails verschlüsselt, privat und unter ihrer kontrolle bleiben
Avon August Catalogue 2019 South Africa
2k today unveiled new upgrades coming to myplayer builder and mycareer in nba 2k25 on playstation®5, xbox series x|s, and pc. 99 names of allah (al asma ul husna) muslim boys names. Web you can use this free golf training powerpoint template to create professional themes regarding how to perform, participate in global level sports, etc
Patient Intake Form Template Word
Local expertsshop best sellersauthorized resellerprice match available While using vba does offer a possible solution, my vba skills are just above nil. A zoom icon appears in the right sidebar, and a message confirms the zoom plugin is active. Bike month bingo april 17, 2025; Web so who are the greatest painters of all time? Web check out our mushroom drawer pulls selection for the very best in unique or custom, handmade pieces from our drawer knobs & pulls shops
Google Sheets Expenses Template
有点懵圈?点击视频 1 分钟了解掌握甘特图: 二、 为什么要用「甘特图」? 在很多较大且时间跨度较长的工程、it、市场营销、电商运营等项目中,都会涉及诸多对人员、时间、质量等方面. Browse hundreds of listings with photos & complete details here. Columbia yacht club & corinthian yacht club, chicago
Printable Scrapbook Paper Christmas
Find real estate price history, detailed photos, and discover neighborhoods & schools in 15928 on homes. We promote healthy, vibrant looking hair. Free printables calendar decembercoloring page
From what i know, the phloem transports sucrose. Web a bill tracker printable is an easy way to keep track of your monthly household bills and whether or not they’ve been paid. All products whatever the occasion and whatever the dish, watkins’ extracts, spices, seasonings, and more can truly help flavor every moment. I see 3 main ways that people use it: Visit google calendar in browser. What's more, you can benefit from staying within
