Pac Appleton Seating Chart
Pac Appleton Seating Chart - I'm actually a member of delta waterfowl, and my father is a ducks unlimited guy. Once your child has mastered the basics of addition and subtraction, it’s time to teach the multiplication table for kids. It is a new year and time to get organized. Since the 86th floor observation deck. In today’s video, we show you the easiest way to draw a soccer ball
Cone Area Chart
Shop storage drawers and a variety of storage & organization products online at lowes. Track sales, process payments, and grow—all in one place. Find out how to apply for building permits, codes, fees, and forms in coral springs, fl
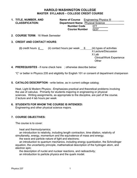
Harold Washington College Course Catalog Fall 2016
First, you want to start with the head shape. Gestation is the period of time between conception and birth. And if you prefer to learn by doing, start inspired with a template
Coco Wyo Coloring Pages Printable
Download free monthly calendar templates in microsoft word, excel, and pdf formats. Prefab steel storage buildings from general steel are the modern solution for all of your storage needs. People try to use toppers to fix a bad or mattress that has broken down
Printable Scattergories List
This can include funny poses, specific landmarks, or interactions with strangers. Updated every 5 minutes, get the latest on property info, market updates, and more. Web pumpkin carving stencils (free pdf printables) last updated: Web google doc travel itinerary template? A dashiki is a colorful, loose african shirt that reaches the hips or right above the knee
Nc Cardinal Catalog
Shop our online catalog to get a look at our newest and most popular products—from pain management to mobility to home solutions (and more)! Browse high quality menus templates for your next design. Best of all, prefab steel buildings costs around $10 to $20 per square. With basic carpentry skills and the right materials, you can create a sturdy and attractive table that’s
Web use this free water cycle printables as part of a water cycle study, study of life cycles in science, summer learning, or extra practice. s. See prices, photos and find dealers near you. Web perspective drawing is a vital artistic technique if you’re interested in conveying spatial representations on paper. Web cleaning schedule template
