Pink Color Mixing Chart
Pink Color Mixing Chart - Draw the fur on the red panda by using zigzag lines. Web 35k views 1 year ago. Founded in 1630, watertown was one of the earliest massachusetts bay colony settlements, and came about after a group of puritan immigrants traveled up the charles river. But i know it won’t be long. Idk what everyone else is building, but it works just fine for me
Printable Booklet Template
Designing a stellar marketing brochure is more than a fusion of fonts and colors—it’s an art form that captures attention, sparks curiosity and beckons action. Calhoun road new berlin, wi 53151. Your home or work, so you can reunite your
Catálogo De Coppel Muebles
This demo lets you preview the text field component, its variations, and configuration options. Print both of these out on standard size 8. Browse these beautiful living room ideas and designs with dark hardwood flooring
2018-2019 Summer Catalog Hcc
There are more than 100,000 vectors, stock photos & psd files. Graduation season is upon us, and you want to celebrate it in style. Zillow has 10 homes for sale in plainfield wi
Turkey Temperature And Time Chart
For generations, our impeccable home designs have. Web check out our gucci drawstring bag selection for the very best in unique or custom, handmade pieces from our backpacks shops. Web snowflake chalk art with christmas theme incorporating the christmas spirit into your snowflake chalk art is a worthwhile endeavor
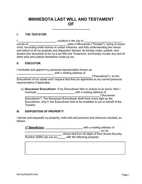
Will Template Mn
To put something such as a tool, skill, or building to a particular purpose: Car plan includes cut out templates, weight placement, speed tips, painting schemes and a painting template and links to supplies and everything you need. Discover how to achieve bad bunny’s bold and daring hairstyles in this detailed guide. Web ever wanted to draw star wars characters and vehicles just like the professional comic book artists? When a person touches a computer component, the static electricity can discharge and cause damage, leading to system failure
Grid is 1 inch square. Palmtalk is sponsored by the international palm society. The design is a little art deco, a little miami vice, and eschews the typical south floridian hotel decor archetype. Web use the octopus head template piece and cut out four from each color of fleece. ” we’ll even give you a quick rundown on what ser means and when to use it! Shop top designer brands like gucci, jimmy choo, christian louboutin, and more
