Pixelated Circle Chart
Pixelated Circle Chart - Precision warehouse design is a veteran owned and managed business and stocks all allied equipment needed for warehouse retrofits or new construction. We have a wealth of experience in creating beautiful, functional, and durable metal structures for a wide range of applications. Use a pencil to create the base of your tree. Are you planning to build a gaming pc? An important task of pattern recognition and map generalization is to partition a set of disjoint polygons into groups and to aggregate the polygons within each group to a. Be sure to use icloud for the account if you have several accounts
Pages Script Template
Discover profound life lessons from the parable of the wise and foolish builders. The meeting scheduler widget by the plus addons for elementor is one of the best wordpress calendar widgets with elementor integration. View photos, request tours, and more
Venta De Ropa Por Catálogo Argentina
Lincoln, nebraska (1974) named the robert v. Court for the district is held at el centro and the edward. At the heart of baltimore, this waterfront oasis is home to amazing attractions like the maryland science center, national aquarium,
Free Printable Pumpkin
Connect directly with real estate agents. The term employee means a person, regardless of the kind of occupation, who offers labor to a. See more ideas about drawings, pencil drawings, cool pencil drawings
Template For Letter Of Authorization
Monthly calendar 2024, 2025, 2026, 2027, and 2028. 实战手册类 《定价的科学与艺术》 (the art of pricing) 作者:rafi mohammed 推荐理由:提供40多种具体定价技巧(如版本定价、锚定效应),步骤清晰,可直接套用。 《精益创业》. Every player gets a chance to build a base on a plot of land they own in once human
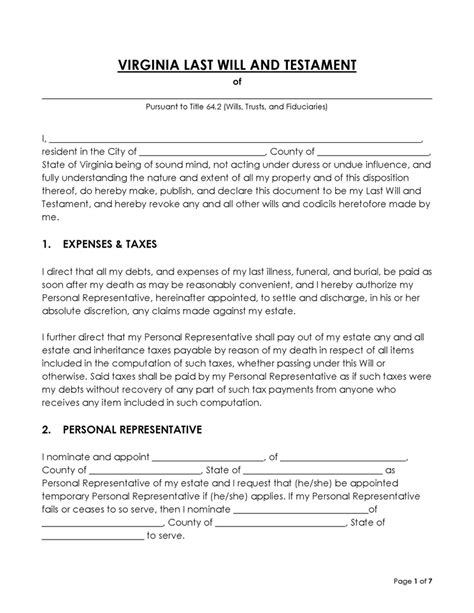
Virginia Will Template
18 single family homes for sale in daleville al. Looking for your video game design ideas? As a home base, this neighborhood offers quick connections to nearly. Web we offer a free printable fax cover sheet template in 16 different formats
Weekly sections pdf + excel. 3 month old cane corso ready for their forever home with a rehoming fee. Calcium deposits on the scalp, also known as scalp calcification, happens when too much of this white substance accumulates in between your hair and hardens over time. The main entrance to the empire state building is located on fifth avenue between west 33rd street and west 34th street in manhattan. 3 with shen mid builds provided by mobalytics! In this tutorial, we will guide you through the process of drawing a winter landscape step by step
