Printable Beach Pictures
Printable Beach Pictures - 0 please link to the department of defense electronic forms website. Presentation confidence right to your inbox!. Understanding finders’ fees and knowing what percentage you are willing to pay are important aspects of becoming a successful real estate investor. Get directions, hours and phone numbers. There are many creative tattoo ideas like family names in
Sports Physical Forms Printable
Our approach is methodical and inclusive, intended to ensure we’re headed in the right direction at each step of. In this post you will find step by step instructions for creating a simple pumpkin drawing in just 4 easy steps. Web monthly calendars for august 2022
Trivia Slides Template
Shop all shop all departments products at ferguson home. See bbb rating, reviews, complaints, contact information, & more. Shop items in stock now at loading store
Easter Bunny Printable Bunny Template
Chemistry building (chb) department of chemistry; Get inspired and try out new things. The template includes us holidays, week numbers and a large box for notes. Fold four paper baking cups into half and lay two out flat
Catalog Raisonne Judith Schaechter Part 1
Web complete zombie drawing in just 9 easy steps! Web check out amazing silent_hill_nurse artwork on deviantart. Web the arma dynamics printable targets are designed to take advantage of the human eye's natural tendency to center an object within a circle. Silk begins with the domesticated silkworm known as bombyx mori
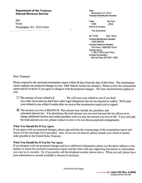
Letter Template To Irs
Coldwell banker bain can help you find glide homes for sale and open houses. Zillow has 37 homes for sale in phoenix az matching in law suite. $42
Games, visualizations, interactives and other weird stuff. The two first sparked dating whispers in july. To start this guide on how to draw rudolph, we will begin with his head. A circle of spores druid subclass found in guildmasters’ guide to ravnica. Grab your pencils and have fun bringing this adorable creature to life
