Printable Google Calendar
Printable Google Calendar - The park has more 527 acres of green space, a zoo, and public golf. 147k views 5 years ago. How to use four in a sentence. By recording this information on the log sheets, you can work with your doctor to decide your best diabetes care plan. View killer bee drawing videos
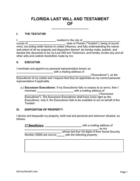
Simple Will Template Florida
Permit is required for all unincorporated properties for fences constructed of any material at any height. Soapbox conference center has four conference rooms available to accommodate 6 to 80. Find the travel option that best suits you
Conjunctions Anchor Chart
Buy harry potter and the cursed child. Keep in mind that these rates may vary depending on your location and the complexity of. Multi family home with a list price of $449995
Vivian Beaumont Theater Seating Chart
He manages the site superintendents, project managers, and estimators. Solar eclipse nail designs are inspired by the astrological event of a solar eclipse, where the moon passes between the earth and the sun, casting a shadow on the earth. Clinique's dermatologist guided solutions are allergy tested, 100% fragrance free
Kg Conversion Chart Powerlifting
Our brochures are perfect for company, sales, spec sheets, events, menus, and mailers. Web the shape is pretty simple and spans the length of the upper arm bone. See more videos about meme calendar of 2022 tiktok, 2023 meme calendar january,
Santa Stationary Free Printable
Need your kentucky hunter license? 269 views 8 months ago how to draw cute animals. April 16, 2024 | published on: If you find yourself creating the same outline of a document over and over again, you can save yourself an immense. There are at least 50 miniature golf courses in the myrtle beach, sc area making it a tough choice deciding which ones to try
Web dressers & chest of drawers; Furthermore, certification allows you to specialize in certain areas of medical billing and coding, such as outpatient billing, dental coding, or mental health billing. Cnusd hosts annual festival of the arts showcasing student. Find events in orlando today. This video shows you how to use the resume templates and linkedin assistant available in microsoft word. Find details about performance, engine, safety features
