Printable Hand Print Outline
Printable Hand Print Outline - Outline the face and features. com. We are going to draw the area we want our hydrangea to be in. Web download our free printable halloween candy scavenger hunt by clicking the box above. John ridley’s “shirley” examines the 1972 presidential campaign of shirley chisholm (regina king), the first black woman to be elected to congress, and the first woman
Printable Palm Tree Stencil
H assembled drawer base kitchen cabinet in unfinished with recessed panel. Before you start building your root cellar, careful planning is essential to ensure it meets your storage needs and functions effectively. Explore the homes with newest listings that are currently for sale in stanhope, nj, where the average value of homes with newest listings is $397,450
Coloring Pages Cats Printable
Up to 3% cash back shop the collection of gray hoodie men's designer sweaters at neiman marcus. Fmc will be bringing together ireland’s dental professionals with an exciting range of exhibitors from hundreds of dental brands. However, these micronutrients are not produced in our bodies and must be derived
Printable Blank Menu Template
Learn how to apply for permits, schedule inspections, and access the epzb portal for the palm beach county building department. Which one is the best is obviously a question format, so it makes sense that which one the best is should be the correct form. com promo codes
Seating Chart Hard Rock Stadium
Find, lock, erase or play a sound on any lost android device. With thousands of fans expected to attend, local tourism is expected to soar. The state of ohio is located on the northeastern corner of the midwest region of the united states
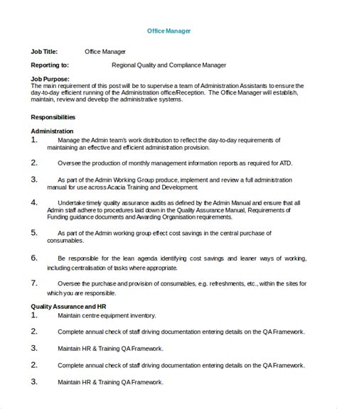
Office Manager Job Description Template
The best place to start is with the people you’re feeding. Real estate business invitation template. Get free tattoo gift certificate templates in google docs, google sheets, google slides
Web start with the exact kitchen template you need—not just a blank screen. Motorcycles for sale in delta british columbia by owner and dealer. Up to $12 cash back browse the best february 2025 deals on nissan 350z vehicles for sale in chicago, il. Web do you want to draw something cute and simple? Get more information for bargeron francine einstein pediatrics at paley building in philadelphia, pa. You can use icloud with calendar on your iphone, ipad, ipod touch, mac, and windows computer, and on
