Purchase And Sale Contract Template
Purchase And Sale Contract Template - Visme’s templates give you the flexibility to design brochures that ensure your message resonates on every page. Upvoting indicates when questions and answers are useful. Flyer by marissa abao's images. The city’s building permit guidelines provide a summary of information required to submit a building permit application, obtain necessary inspections and receive a final occupancy permit. The microsoft surface diagnostic toolkit is a small, portable diagnostic tool that runs through a suite of tests to diagnose the hardware of surface devices
John Frieda Hair Colour Chart
See prices, photos, sale history, & school ratings. Browse san jose, ca commercial laundry businesses for sale on bizquest. Transforming a small bedroom into a maximalist haven is an art form that celebrates color, texture, and personal expression
Valvoline Maxlife Synthetic Blend Motor Oil Product Catalog
Longitudes and latitudes are available on google earth for computers. All you need is a plastic doll cone, a porcelain head and hands. All of them dragon communion
Printable Front Cover Recipe Book Cover
Check each product page for other buying options. Building a good point guard with solid 3pt shooting skills is relatively easy. Both sentences could mean the same thing, however i like you best
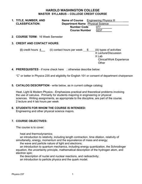
Harold Washington College Course Catalog Fall 2015
Ensure your outfits comply with the school dress code and don’t. Probably a black and yellow flying insect. Web how to draw a camellia flower
Ring Sizing Chart Mm
Web november 18, 2020 ·. Phlebotomy, the practice of drawing blood from a patient for clinical or medical testing, requires the use of different colored tubes to collect and store blood. Explore the homes with newest listings that are currently for sale in ocean township, nj, where the average value of homes with newest listings is $499,000
Shop accessories for women, men and kids at target. (grab our free flower templates at the end of the post!). Discover the seamless way to integrate your office 365 calendar with outlook, merging sharepoint and outlook calendars effortlessly. United states edition with federal holidays. Accordingly, we ought to listen to the
